I6Pd2
MatHub2d-765-I6Pd2
| Property |
Value |
| Space group |
(189, 'P-62m') |
| Crystal system |
hexagonal |
| Magnetic |
Yes |
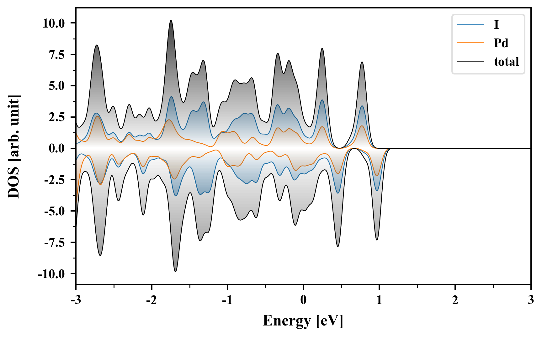
| Band gap (PBE) (eV) |
0.00 |
| Free energy (eV) |
-15.414 |
| Free energy / atom (eV) |
-1.927 |
Lattice Parameters (basic)
| a, b, c (Å): | 7.571 | 7.571 | 30.000 |
| α, β, γ (°): | 90.000 | 90.000 | 120.000 |
Lattice Parameters (computed)
| a, b, c (Å): | 7.538 | 7.538 | 30.000 |
| α, β, γ (°): | 90.000 | 90.000 | 120.000 |
| Property |
Value |
| Band gap |
0.00 eV |
| E-fermi |
-3.709 eV |
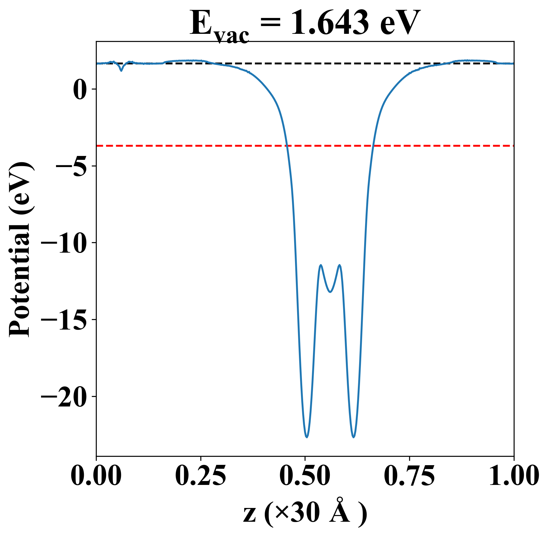
| Vacuum level |
1.643 eV |
| VBM |
-3.709 eV |
| CBM |
-3.708 eV |
| Work function |
5.352 eV |
| Direct gap |
No |
| Property |
Value |
| Band gap |
0.00 eV |
| E-fermi |
-3.709 eV |
| Vacuum level |
1.643 eV |
| VBM |
-3.709 eV |
| CBM |
-3.708 eV |
| Work function |
5.352 eV |
| Cij (N/m) |
xx |
yy |
xy |
| xx |
11.296 |
12.504 |
0.000 |
| yy |
12.504 |
11.296 |
-0.000 |
| xy |
0.000 |
-0.000 |
-0.604 |
| Phonon mode at Γ point (THz) |
| -1.404 |
| -0.221 |
| -0.004 |
| -0.004 |
| -0.002 |
| 0.955 |
| 0.955 |
| 1.438 |
| 1.438 |
| 1.637 |
| 1.637 |
| 1.988 |
| 2.264 |
| 2.264 |
| 2.265 |
| 2.265 |
| 2.454 |
| 2.454 |
| 3.093 |
| 3.093 |
| 3.376 |
| 3.645 |
| 4.283 |
| 4.729 |
| Property |
Value |
| from where |
c2db-1296 |