I6Pd2
MatHub2d-764-I6Pd2
| Property |
Value |
| Space group |
(162, 'P-31m') |
| Crystal system |
hexagonal |
| Magnetic |
Yes |
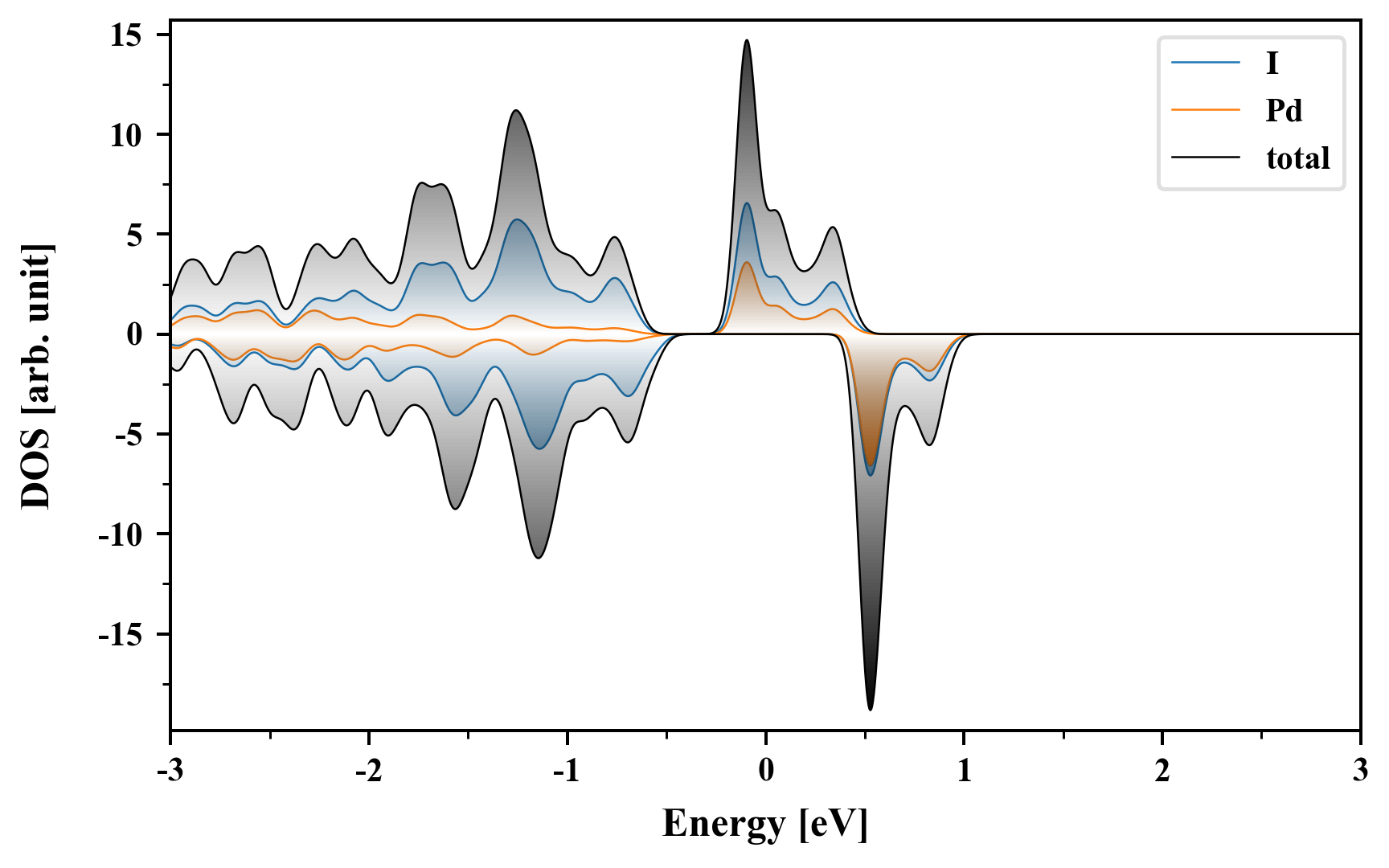
| Band gap (PBE) (eV) |
0.00 |
| Free energy (eV) |
-16.674 |
| Free energy / atom (eV) |
-2.084 |
Lattice Parameters (basic)
| a, b, c (Å): | 7.111 | 7.111 | 30.000 |
| α, β, γ (°): | 90.000 | 90.000 | 120.000 |
Lattice Parameters (computed)
| a, b, c (Å): | 7.029 | 7.029 | 30.000 |
| α, β, γ (°): | 90.000 | 90.000 | 120.000 |
| Property |
Value |
| Band gap |
0.00 eV |
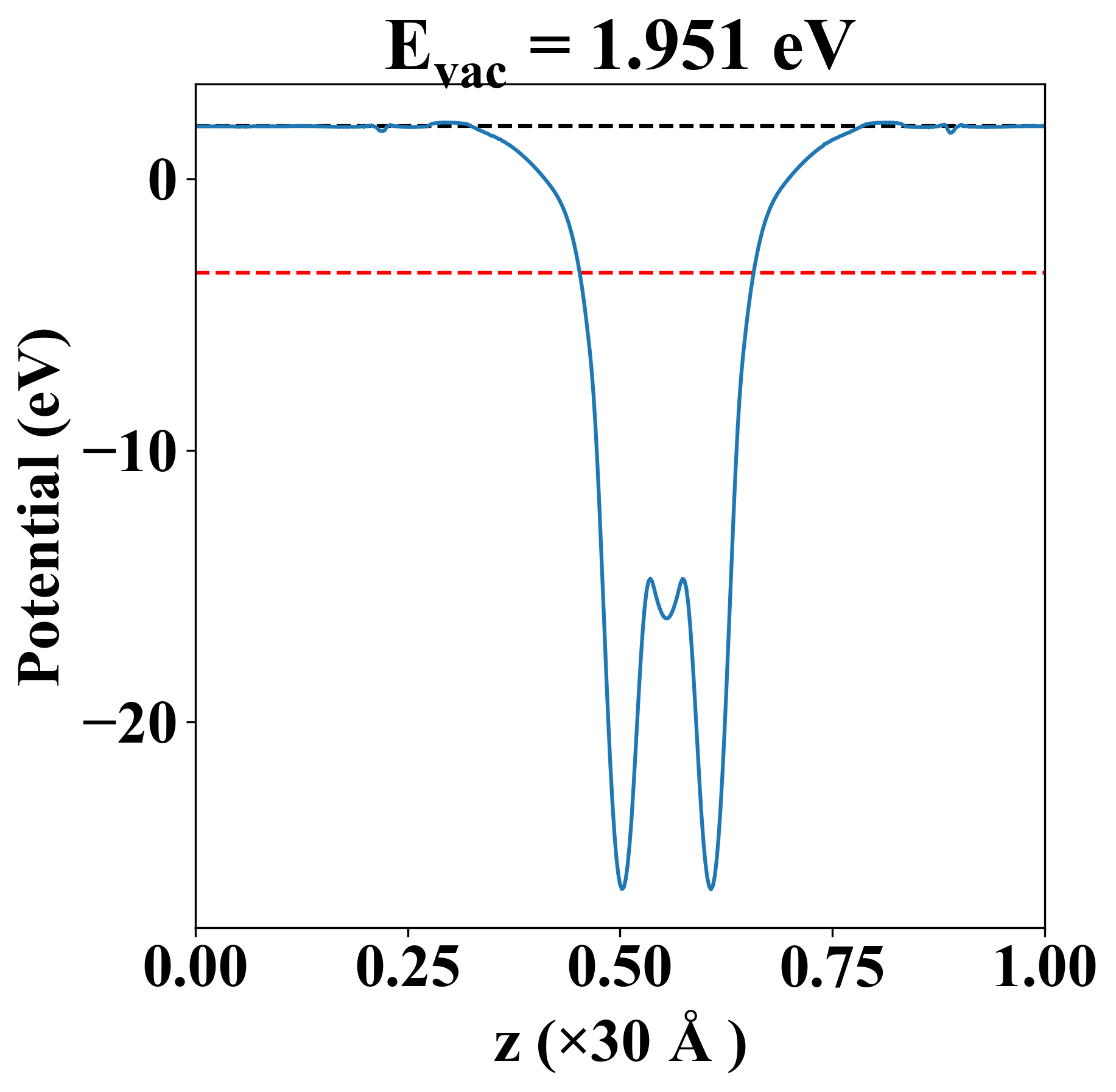
| E-fermi |
-3.448 eV |
| Vacuum level |
1.951 eV |
| VBM |
-3.448 eV |
| CBM |
-3.447 eV |
| Work function |
5.398 eV |
| Direct gap |
No |
| Property |
Value |
| Band gap |
0.00 eV |
| E-fermi |
-3.448 eV |
| Vacuum level |
1.951 eV |
| VBM |
-3.448 eV |
| CBM |
-3.447 eV |
| Work function |
5.398 eV |
| Cij (N/m) |
xx |
yy |
xy |
| xx |
15.594 |
5.471 |
0.000 |
| yy |
5.471 |
15.594 |
0.000 |
| xy |
0.000 |
0.000 |
5.062 |
| Phonon mode at Γ point (THz) |
| -0.003 |
| -0.003 |
| -0.003 |
| 0.937 |
| 0.937 |
| 1.050 |
| 1.050 |
| 1.116 |
| 1.480 |
| 1.480 |
| 1.523 |
| 1.863 |
| 2.239 |
| 2.239 |
| 2.459 |
| 2.459 |
| 3.043 |
| 3.618 |
| 4.626 |
| 4.805 |
| 4.805 |
| 4.829 |
| 4.972 |
| 4.972 |
| Property |
Value |
| from where |
c2db-1171 |