I6Os2
MatHub2d-763-I6Os2
| Property |
Value |
| Space group |
(162, 'P-31m') |
| Crystal system |
hexagonal |
| Magnetic |
Yes |
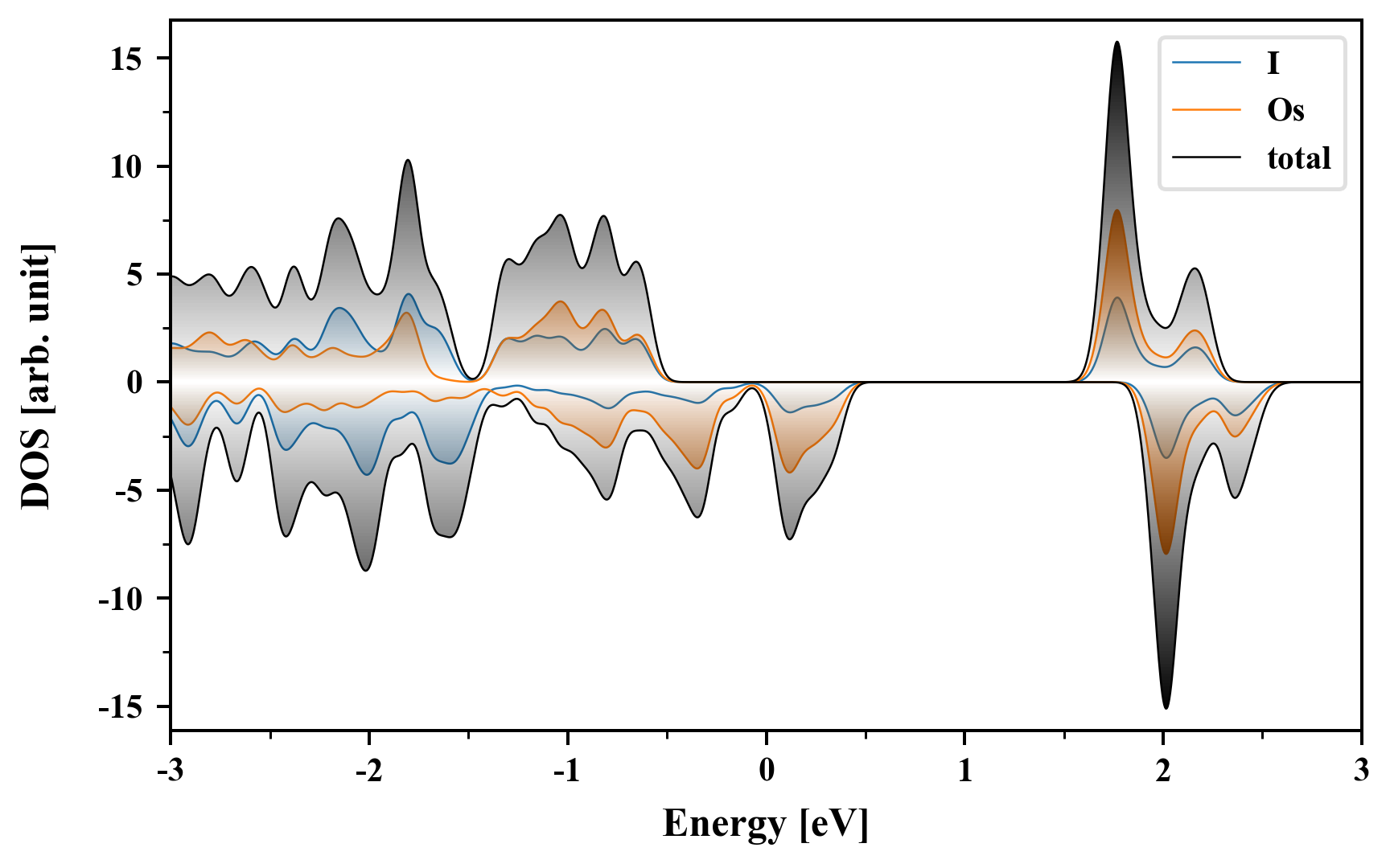
| Band gap (PBE) (eV) |
0.00 |
| Free energy (eV) |
-25.359 |
| Free energy / atom (eV) |
-3.170 |
Lattice Parameters (basic)
| a, b, c (Å): | 7.031 | 7.031 | 30.000 |
| α, β, γ (°): | 90.000 | 90.000 | 120.000 |
Lattice Parameters (computed)
| a, b, c (Å): | 7.080 | 7.080 | 30.000 |
| α, β, γ (°): | 90.000 | 90.000 | 120.000 |
| Property |
Value |
| Band gap |
0.00 eV |
| E-fermi |
-2.991 eV |
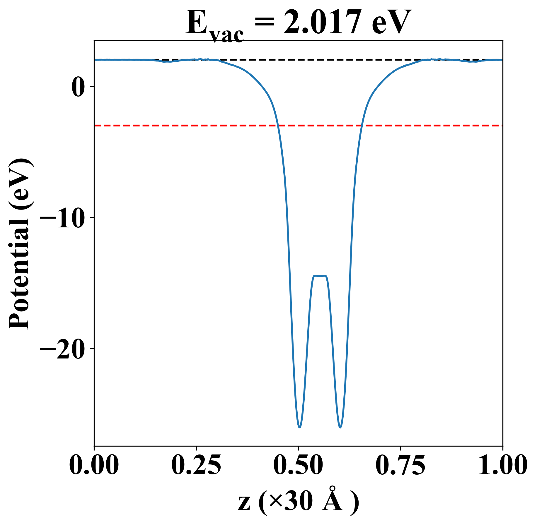
| Vacuum level |
2.017 eV |
| VBM |
-2.993 eV |
| CBM |
-2.989 eV |
| Work function |
5.008 eV |
| Direct gap |
No |
| Property |
Value |
| Band gap |
0.00 eV |
| E-fermi |
-2.991 eV |
| Vacuum level |
2.017 eV |
| VBM |
-2.993 eV |
| CBM |
-2.989 eV |
| Work function |
5.008 eV |
| Cij (N/m) |
xx |
yy |
xy |
| xx |
27.983 |
11.524 |
-0.000 |
| yy |
11.524 |
27.983 |
0.000 |
| xy |
-0.000 |
0.000 |
8.229 |
| Phonon mode at Γ point (THz) |
| -0.002 |
| -0.001 |
| -0.001 |
| 1.563 |
| 1.563 |
| 1.601 |
| 1.971 |
| 2.288 |
| 2.288 |
| 2.385 |
| 3.111 |
| 3.111 |
| 3.120 |
| 3.120 |
| 3.656 |
| 3.656 |
| 4.096 |
| 4.096 |
| 4.360 |
| 4.557 |
| 4.561 |
| 4.825 |
| 4.825 |
| 5.039 |
| Property |
Value |
| from where |
c2db-1167 |