I6Os2
MatHub2d-762-I6Os2
| Property |
Value |
| Space group |
(189, 'P-62m') |
| Crystal system |
hexagonal |
| Magnetic |
Yes |
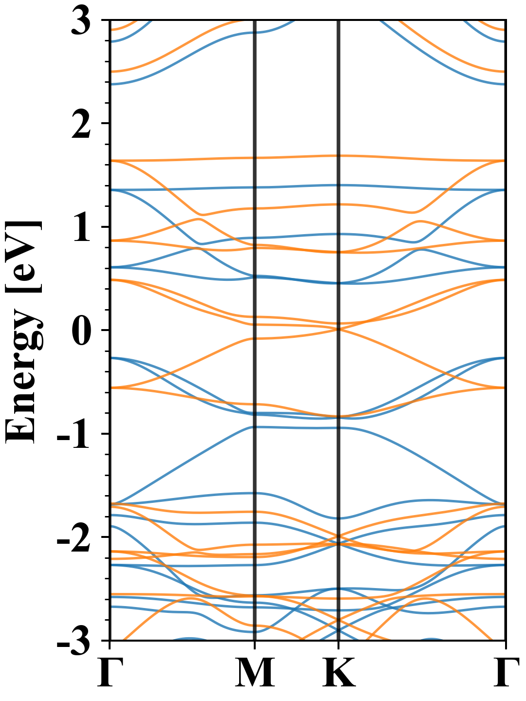
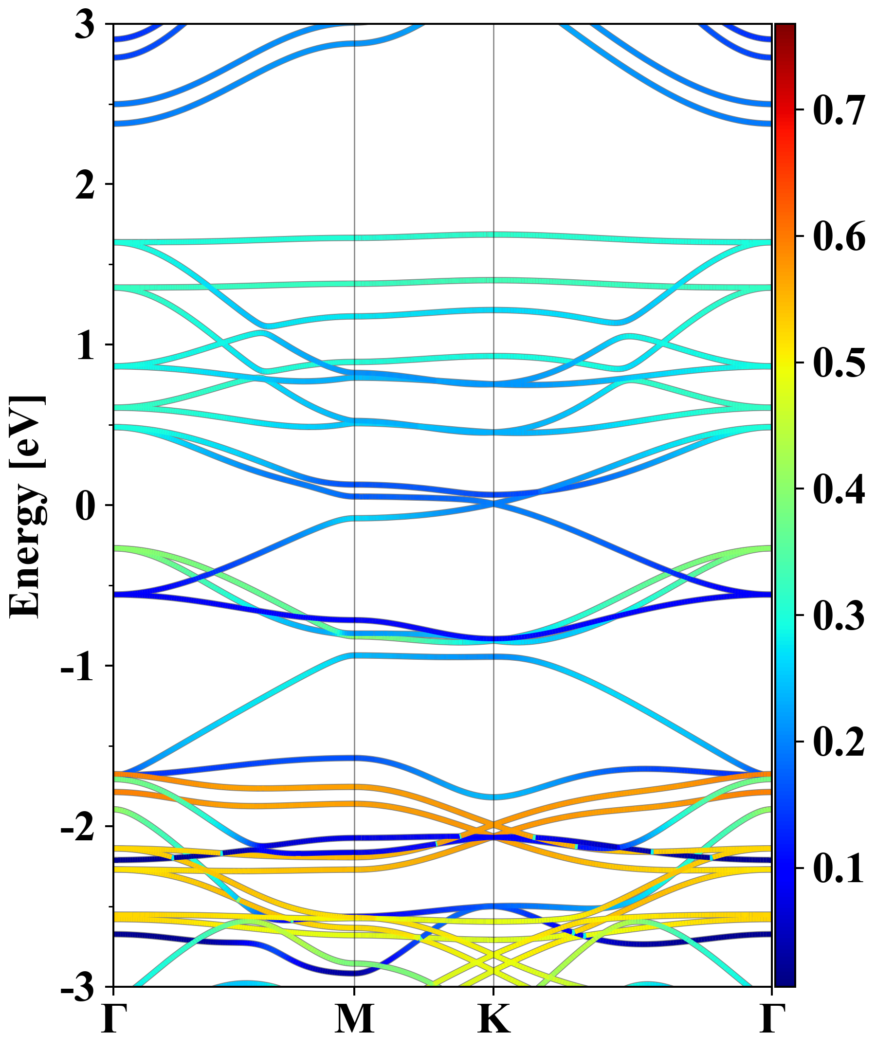
| Band gap (PBE) (eV) |
0.00 |
| Free energy (eV) |
-23.193 |
| Free energy / atom (eV) |
-2.899 |
Lattice Parameters (basic)
| a, b, c (Å): | 7.111 | 7.111 | 30.000 |
| α, β, γ (°): | 90.000 | 90.000 | 120.000 |
Lattice Parameters (computed)
| a, b, c (Å): | 7.265 | 7.265 | 30.000 |
| α, β, γ (°): | 90.000 | 90.000 | 120.000 |
| Property |
Value |
| Band gap |
0.00 eV |
| E-fermi |
-2.465 eV |
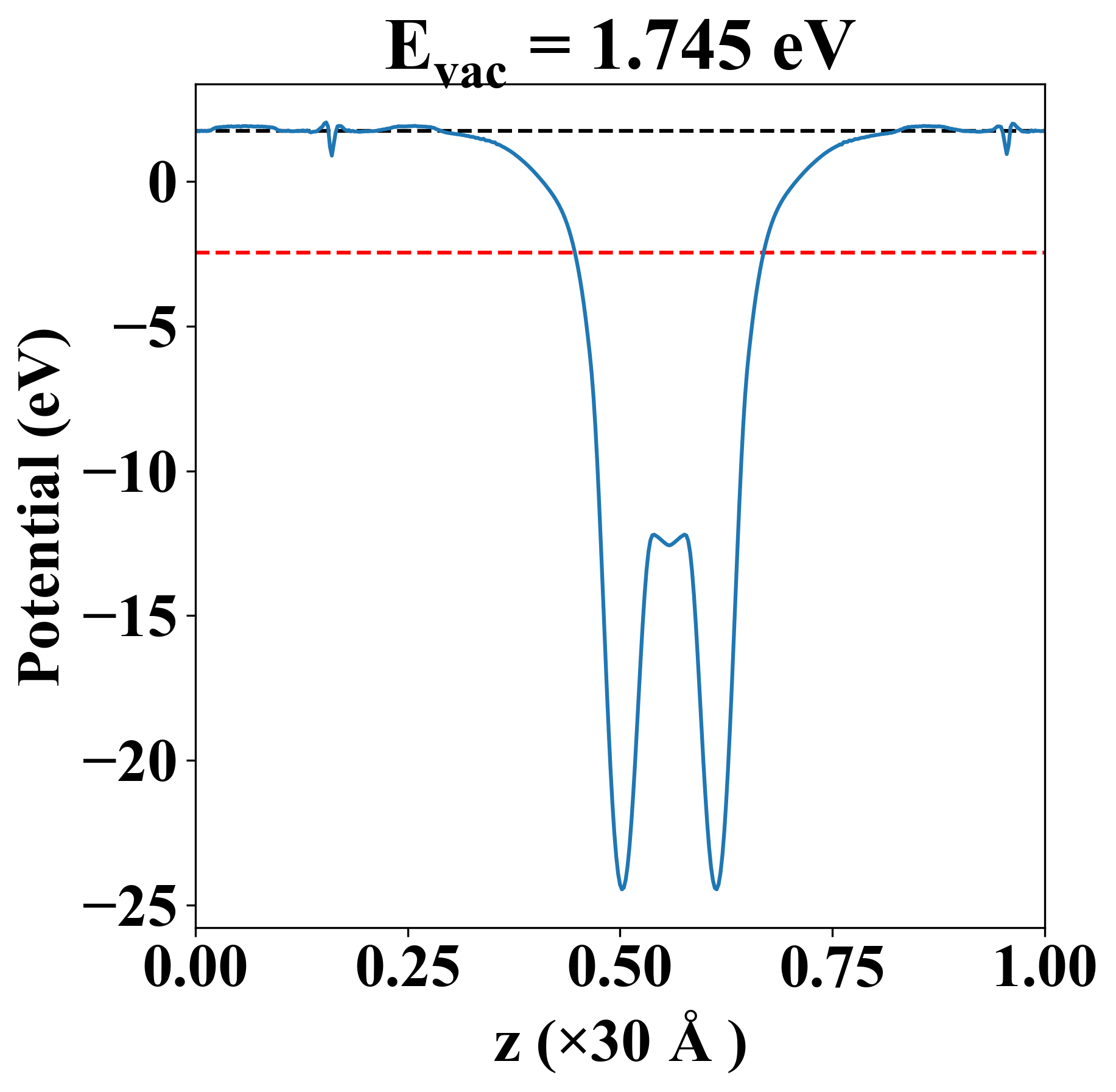
| Vacuum level |
1.745 eV |
| VBM |
-2.466 eV |
| CBM |
-2.465 eV |
| Work function |
4.211 eV |
| Direct gap |
No |
| Property |
Value |
| Band gap |
0.00 eV |
| E-fermi |
-2.465 eV |
| Vacuum level |
1.745 eV |
| VBM |
-2.466 eV |
| CBM |
-2.465 eV |
| Work function |
4.211 eV |
| Cij (N/m) |
xx |
yy |
xy |
| xx |
14.185 |
0.462 |
-0.000 |
| yy |
0.462 |
14.185 |
-0.000 |
| xy |
-0.000 |
-0.000 |
6.862 |
| Phonon mode at Γ point (THz) |
| -1.753 |
| -0.002 |
| -0.001 |
| -0.001 |
| 1.286 |
| 1.511 |
| 1.511 |
| 2.341 |
| 2.341 |
| 2.434 |
| 2.463 |
| 2.463 |
| 3.075 |
| 3.075 |
| 3.333 |
| 3.333 |
| 3.647 |
| 4.024 |
| 4.024 |
| 4.308 |
| 4.367 |
| 4.587 |
| 4.757 |
| 4.757 |
| Property |
Value |
| from where |
c2db-1291 |