I6Ni2
MatHub2d-761-I6Ni2
| Property |
Value |
| Space group |
(162, 'P-31m') |
| Crystal system |
hexagonal |
| Magnetic |
Yes |
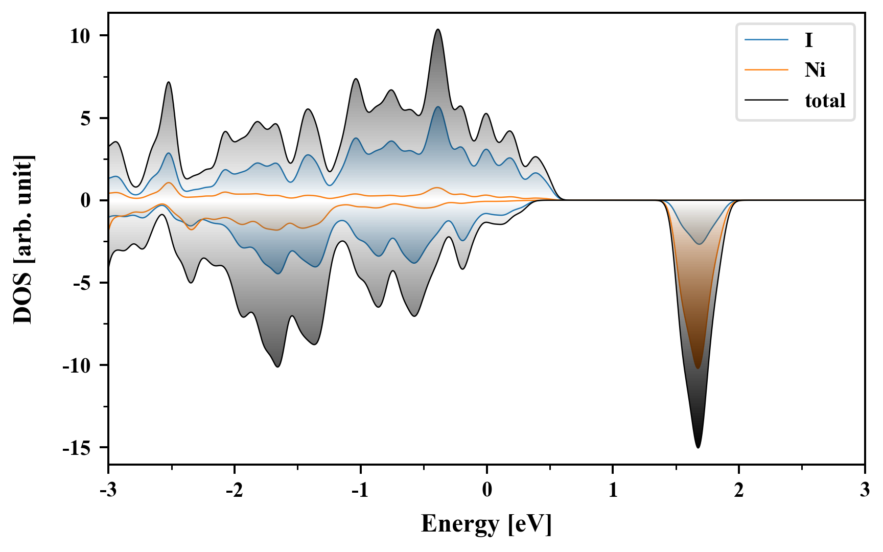
| Band gap (PBE) (eV) |
0.00 |
| Free energy (eV) |
-15.850 |
| Free energy / atom (eV) |
-1.981 |
Lattice Parameters (basic)
| a, b, c (Å): | 6.837 | 6.837 | 30.000 |
| α, β, γ (°): | 90.000 | 90.000 | 120.000 |
Lattice Parameters (computed)
| a, b, c (Å): | 6.637 | 6.637 | 30.000 |
| α, β, γ (°): | 90.000 | 90.000 | 120.000 |
| Property |
Value |
| Band gap |
0.00 eV |
| E-fermi |
-3.720 eV |
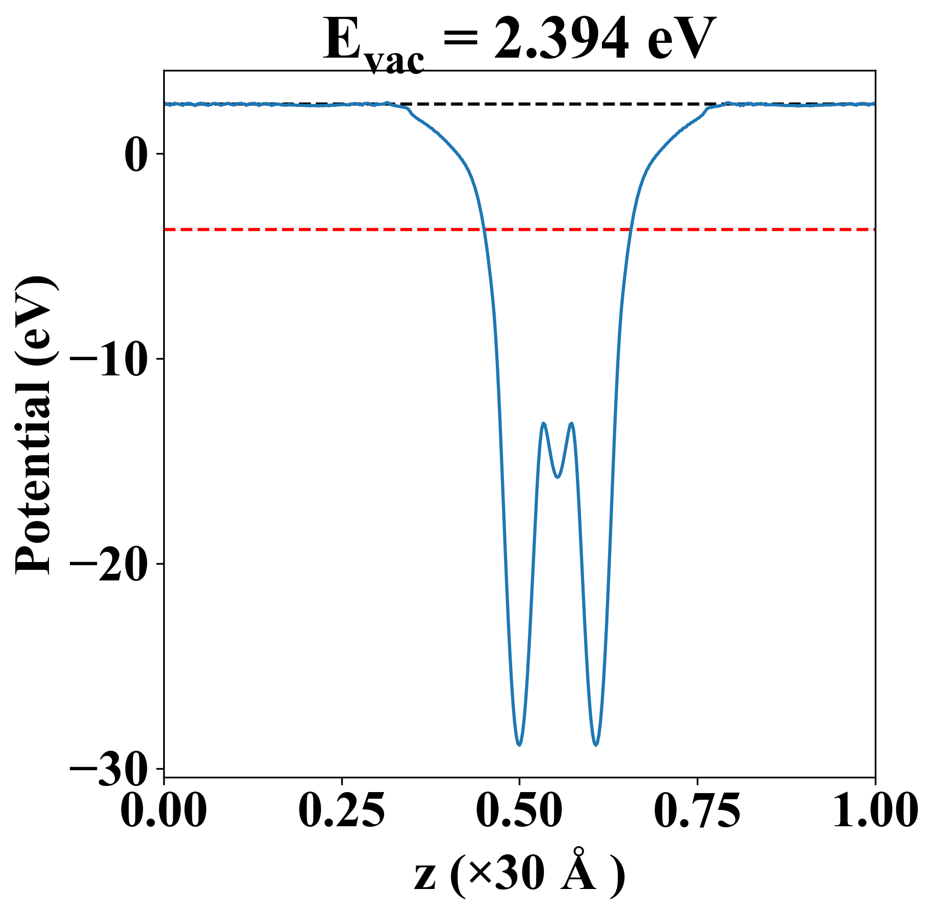
| Vacuum level |
2.394 eV |
| VBM |
-3.720 eV |
| CBM |
-3.720 eV |
| Work function |
6.113 eV |
| Direct gap |
No |
| Property |
Value |
| Band gap |
0.00 eV |
| E-fermi |
-3.720 eV |
| Vacuum level |
2.394 eV |
| VBM |
-3.720 eV |
| CBM |
-3.720 eV |
| Work function |
6.113 eV |
| Cij (N/m) |
xx |
yy |
xy |
| xx |
15.119 |
3.169 |
0.000 |
| yy |
3.169 |
15.119 |
-0.000 |
| xy |
0.000 |
-0.000 |
5.975 |
| Phonon mode at Γ point (THz) |
| -0.013 |
| -0.003 |
| -0.003 |
| 1.062 |
| 1.062 |
| 1.322 |
| 1.322 |
| 1.531 |
| 1.531 |
| 1.563 |
| 1.882 |
| 2.285 |
| 2.399 |
| 2.399 |
| 2.759 |
| 2.759 |
| 2.842 |
| 2.842 |
| 3.598 |
| 4.450 |
| 4.450 |
| 4.697 |
| 4.847 |
| 4.847 |
| Property |
Value |
| from where |
c2db-1164 |