I6Ni2
MatHub2d-760-I6Ni2
| Property |
Value |
| Space group |
(189, 'P-62m') |
| Crystal system |
hexagonal |
| Magnetic |
Yes |
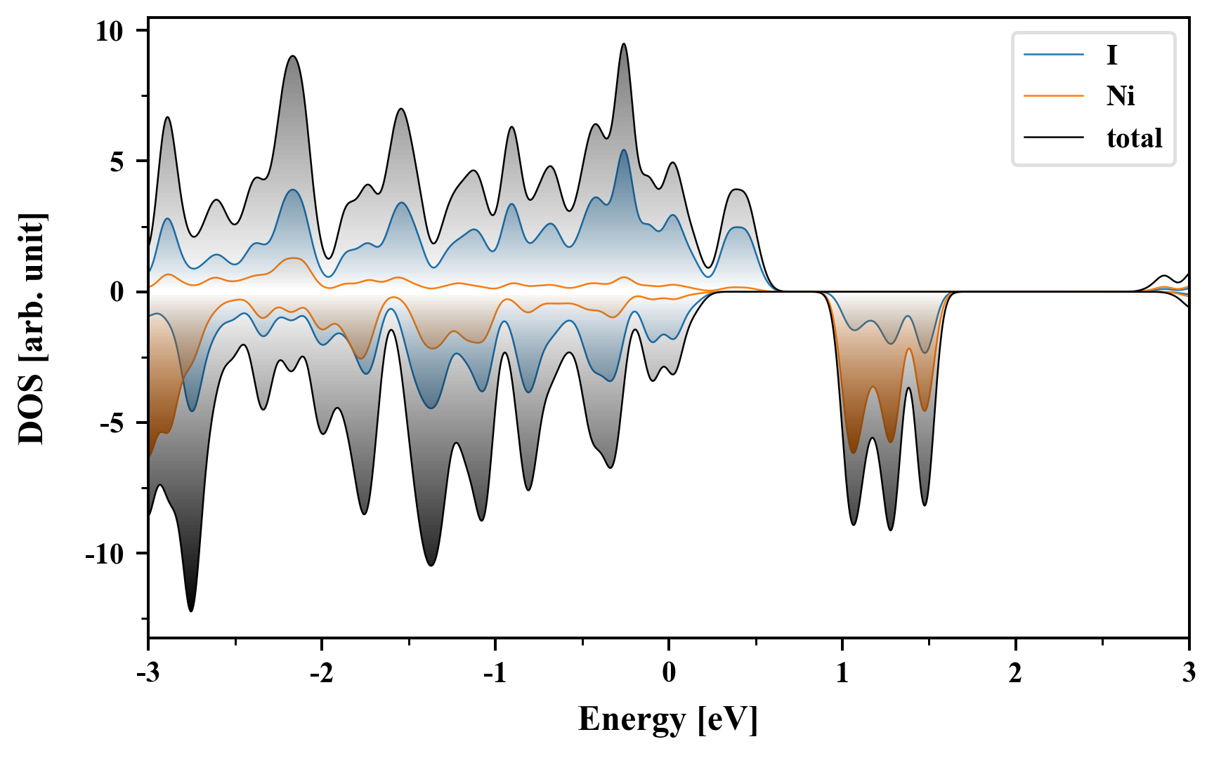
| Band gap (PBE) (eV) |
0.00 |
| Free energy (eV) |
-14.479 |
| Free energy / atom (eV) |
-1.810 |
Lattice Parameters (basic)
| a, b, c (Å): | 7.117 | 7.117 | 30.000 |
| α, β, γ (°): | 90.000 | 90.000 | 120.000 |
Lattice Parameters (computed)
| a, b, c (Å): | 7.039 | 7.039 | 30.000 |
| α, β, γ (°): | 90.000 | 90.000 | 120.000 |
| Property |
Value |
| Band gap |
0.00 eV |
| E-fermi |
-3.818 eV |
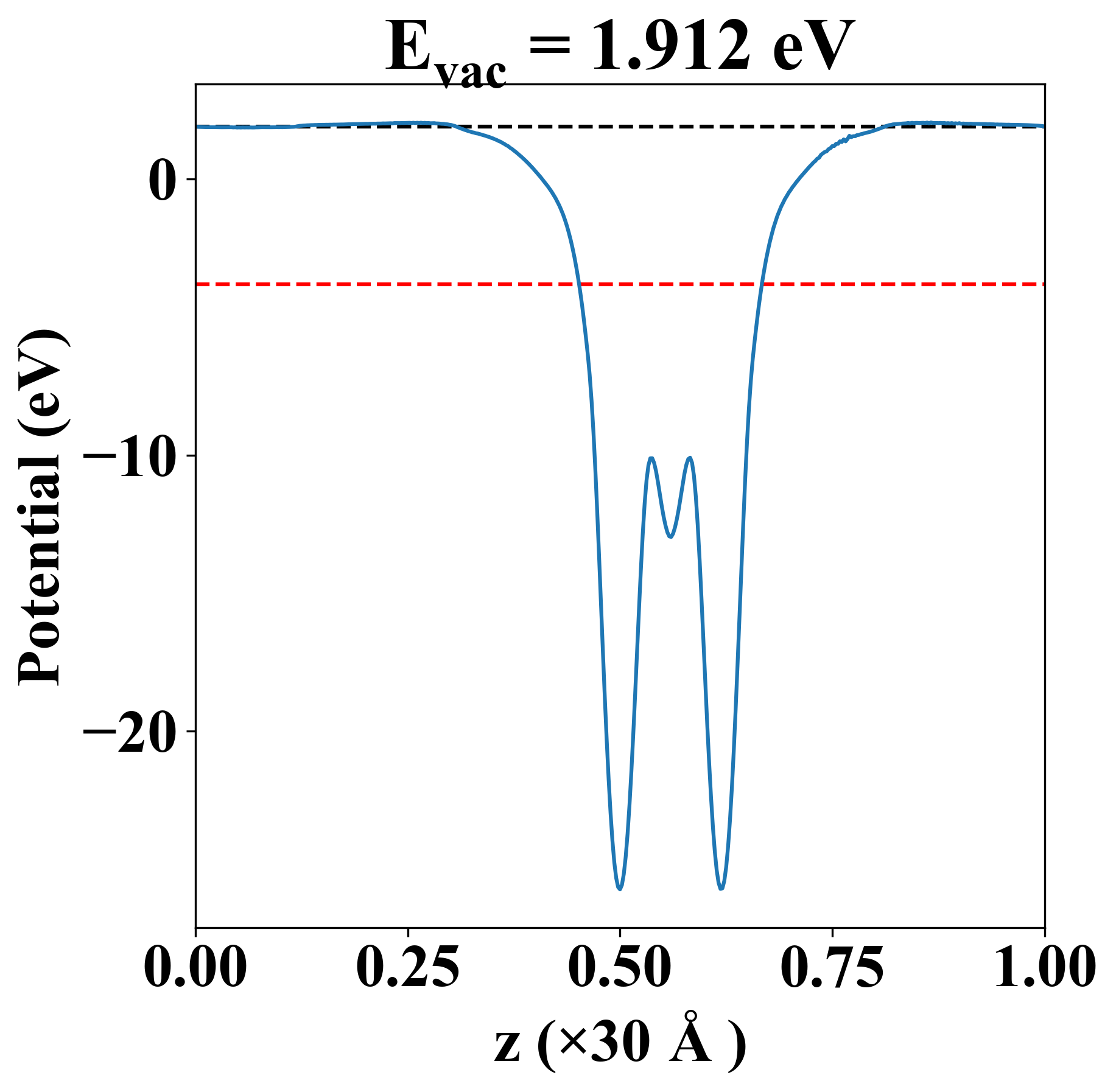
| Vacuum level |
1.912 eV |
| VBM |
-3.819 eV |
| CBM |
-3.818 eV |
| Work function |
5.730 eV |
| Direct gap |
No |
| Property |
Value |
| Band gap |
0.00 eV |
| E-fermi |
-3.818 eV |
| Vacuum level |
1.912 eV |
| VBM |
-3.819 eV |
| CBM |
-3.818 eV |
| Work function |
5.730 eV |
| Cij (N/m) |
xx |
yy |
xy |
| xx |
-36.087 |
49.190 |
-0.000 |
| yy |
49.190 |
-36.087 |
0.000 |
| xy |
-0.000 |
0.000 |
-42.639 |
| Phonon mode at Γ point (THz) |
| -0.464 |
| -0.437 |
| -0.308 |
| -0.308 |
| -0.013 |
| 0.170 |
| 0.170 |
| 0.827 |
| 0.827 |
| 1.061 |
| 1.254 |
| 1.254 |
| 1.796 |
| 1.796 |
| 2.147 |
| 2.147 |
| 2.206 |
| 2.206 |
| 2.451 |
| 2.451 |
| 2.576 |
| 3.334 |
| 3.555 |
| 3.572 |
| Property |
Value |
| from where |
c2db-1288 |