I6Nb2
MatHub2d-759-I6Nb2
| Property |
Value |
| Space group |
(189, 'P-62m') |
| Crystal system |
hexagonal |
| Magnetic |
Yes |
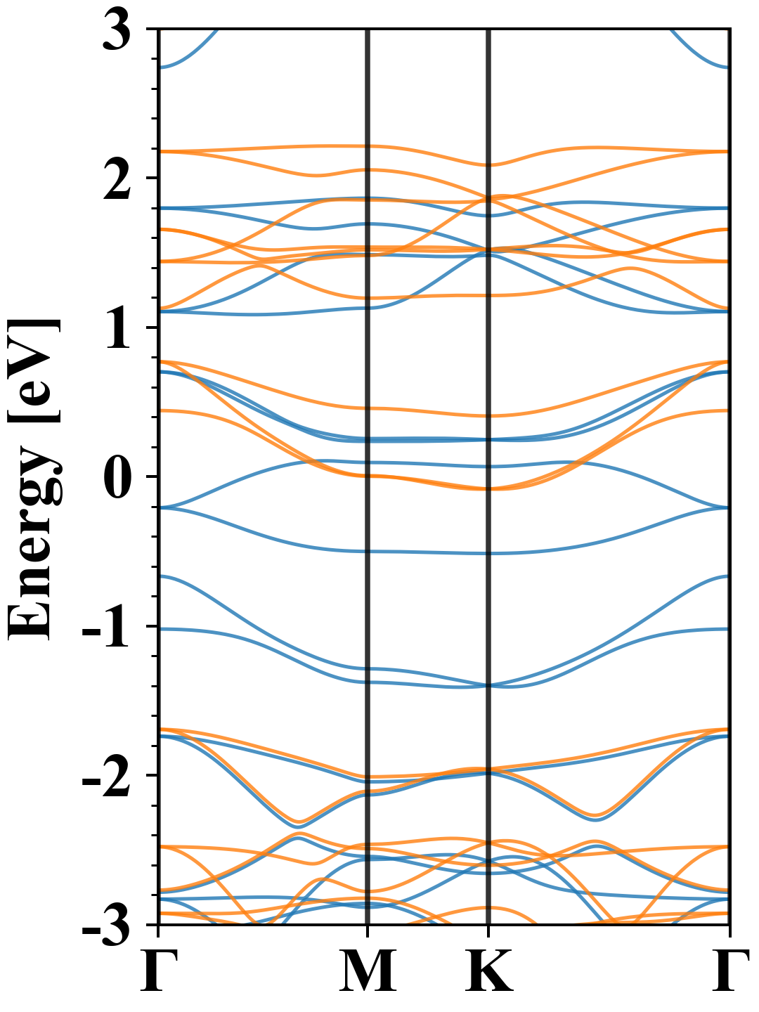
| Band gap (PBE) (eV) |
0.00 |
| Free energy (eV) |
-28.699 |
| Free energy / atom (eV) |
-3.587 |
Lattice Parameters (basic)
| a, b, c (Å): | 6.781 | 6.781 | 30.000 |
| α, β, γ (°): | 90.000 | 90.000 | 120.000 |
Lattice Parameters (computed)
| a, b, c (Å): | 6.795 | 6.795 | 30.000 |
| α, β, γ (°): | 90.000 | 90.000 | 120.000 |
| Property |
Value |
| Band gap |
0.00 eV |
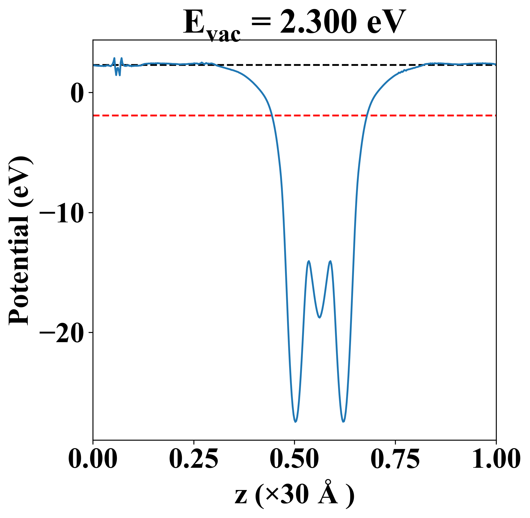
| E-fermi |
-1.916 eV |
| Vacuum level |
2.300 eV |
| VBM |
-1.917 eV |
| CBM |
-1.916 eV |
| Work function |
4.216 eV |
| Direct gap |
No |
| Property |
Value |
| Band gap |
0.00 eV |
| E-fermi |
-1.916 eV |
| Vacuum level |
2.300 eV |
| VBM |
-1.917 eV |
| CBM |
-1.916 eV |
| Work function |
4.216 eV |
| Cij (N/m) |
xx |
yy |
xy |
| xx |
22.510 |
6.333 |
0.000 |
| yy |
6.333 |
22.510 |
-0.000 |
| xy |
0.000 |
-0.000 |
8.088 |
| Phonon mode at Γ point (THz) |
| -0.001 |
| 0.001 |
| 0.001 |
| 1.181 |
| 1.181 |
| 2.045 |
| 2.264 |
| 2.264 |
| 2.328 |
| 2.655 |
| 2.834 |
| 2.834 |
| 2.887 |
| 2.887 |
| 3.393 |
| 3.393 |
| 3.695 |
| 3.845 |
| 4.960 |
| 4.960 |
| 5.491 |
| 5.491 |
| 5.586 |
| 6.534 |
| Property |
Value |
| from where |
c2db-1282 |