I6Nb2
MatHub2d-758-I6Nb2
| Property |
Value |
| Space group |
(162, 'P-31m') |
| Crystal system |
hexagonal |
| Magnetic |
Yes |
| Band gap (PBE) (eV) |
0.43 |
| Free energy (eV) |
-29.890 |
| Free energy / atom (eV) |
-3.736 |
Lattice Parameters (basic)
| a, b, c (Å): | 7.153 | 7.153 | 30.000 |
| α, β, γ (°): | 90.000 | 90.000 | 120.000 |
Lattice Parameters (computed)
| a, b, c (Å): | 7.225 | 7.225 | 30.000 |
| α, β, γ (°): | 90.000 | 90.000 | 120.000 |
| Property |
Value |
| Band gap |
0.43 eV |
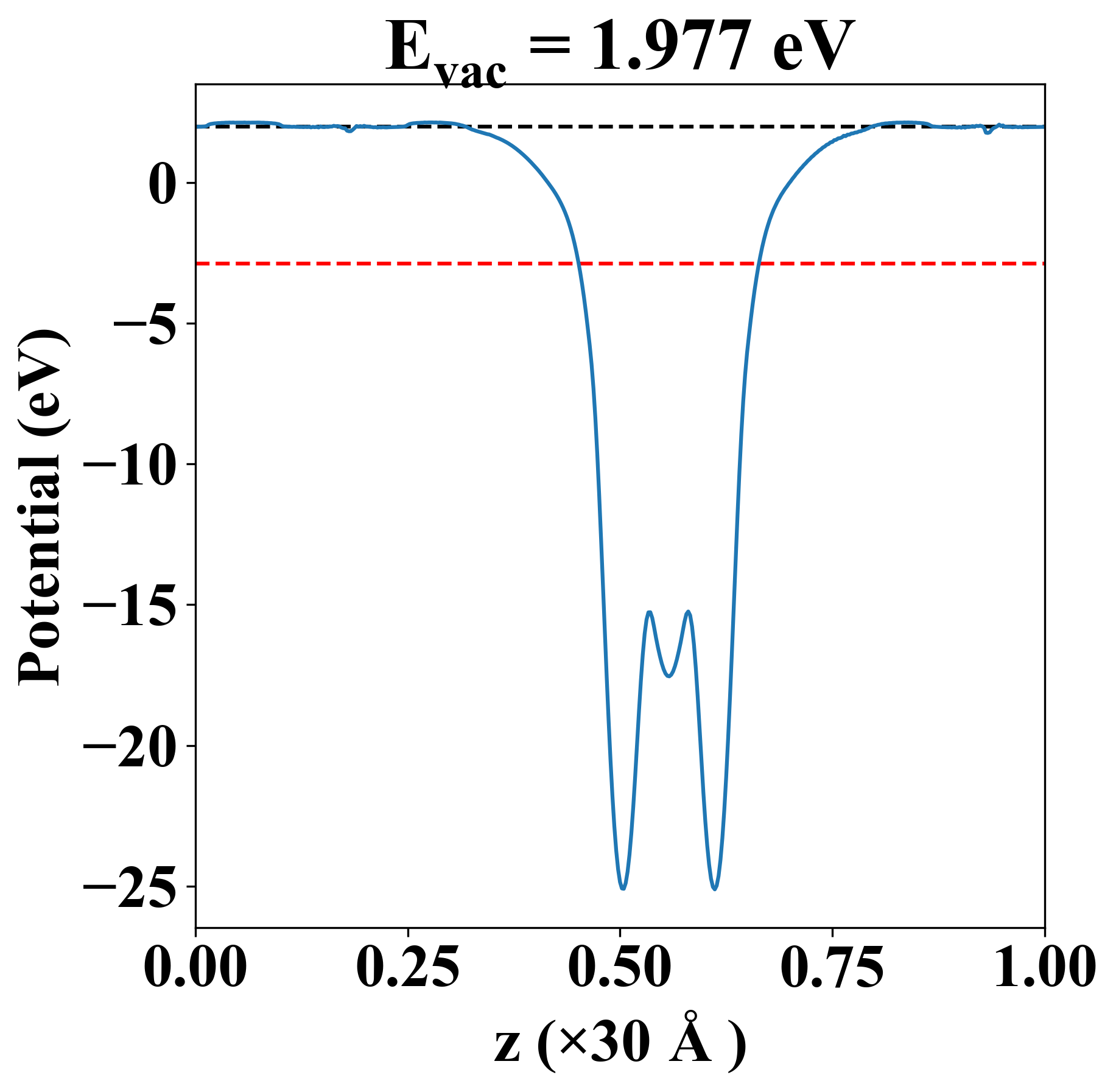
| E-fermi |
-2.881 eV |
| Vacuum level |
1.977 eV |
| VBM |
-3.101 eV |
| CBM |
-2.671 eV |
| Work function |
4.857 eV |
| Direct gap |
No |
| Property |
Value |
| Band gap |
0.46 eV |
| E-fermi |
-2.851 eV |
| VBM |
-3.073 eV |
| CBM |
-2.614 eV |
| Free energy (eV) |
-30.855 |
| Free energy / atom (eV) |
-3.857 |
| Property |
Value |
| Band gap |
0.43 eV |
| E-fermi |
-2.881 eV |
| Vacuum level |
1.977 eV |
| VBM |
-3.101 eV |
| CBM |
-2.671 eV |
| Work function |
4.857 eV |
| Cij (N/m) |
xx |
yy |
xy |
| xx |
2.286 |
-9.020 |
-0.000 |
| yy |
-9.020 |
2.286 |
-0.000 |
| xy |
-0.000 |
-0.000 |
5.653 |
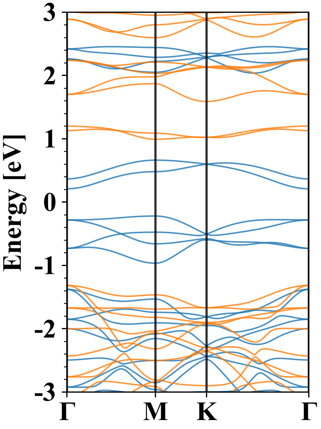
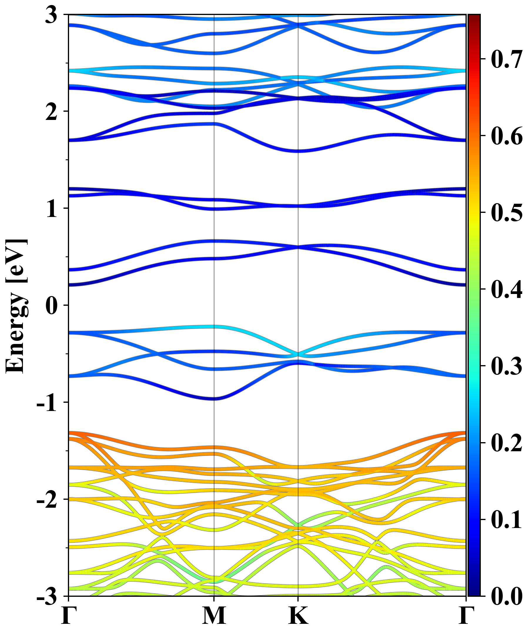
| Phonon mode at Γ point (THz) |
| -2.967 |
| -2.967 |
| -0.002 |
| -0.001 |
| 0.002 |
| 1.255 |
| 1.255 |
| 1.518 |
| 1.792 |
| 1.915 |
| 1.915 |
| 2.068 |
| 2.682 |
| 2.682 |
| 3.104 |
| 3.104 |
| 3.309 |
| 3.420 |
| 3.806 |
| 3.806 |
| 3.810 |
| 4.288 |
| 4.288 |
| 5.349 |
| Property |
Value |
| from where |
c2db-1160 |