I6Mo2
MatHub2d-757-I6Mo2
| Property |
Value |
| Space group |
(189, 'P-62m') |
| Crystal system |
hexagonal |
| Magnetic |
Yes |
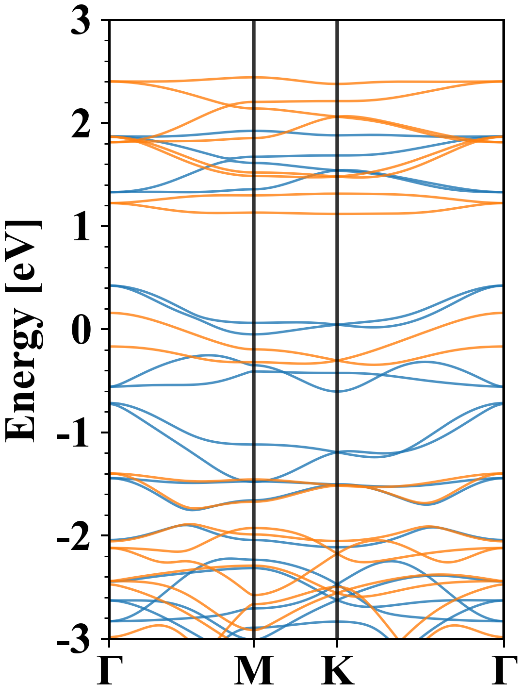
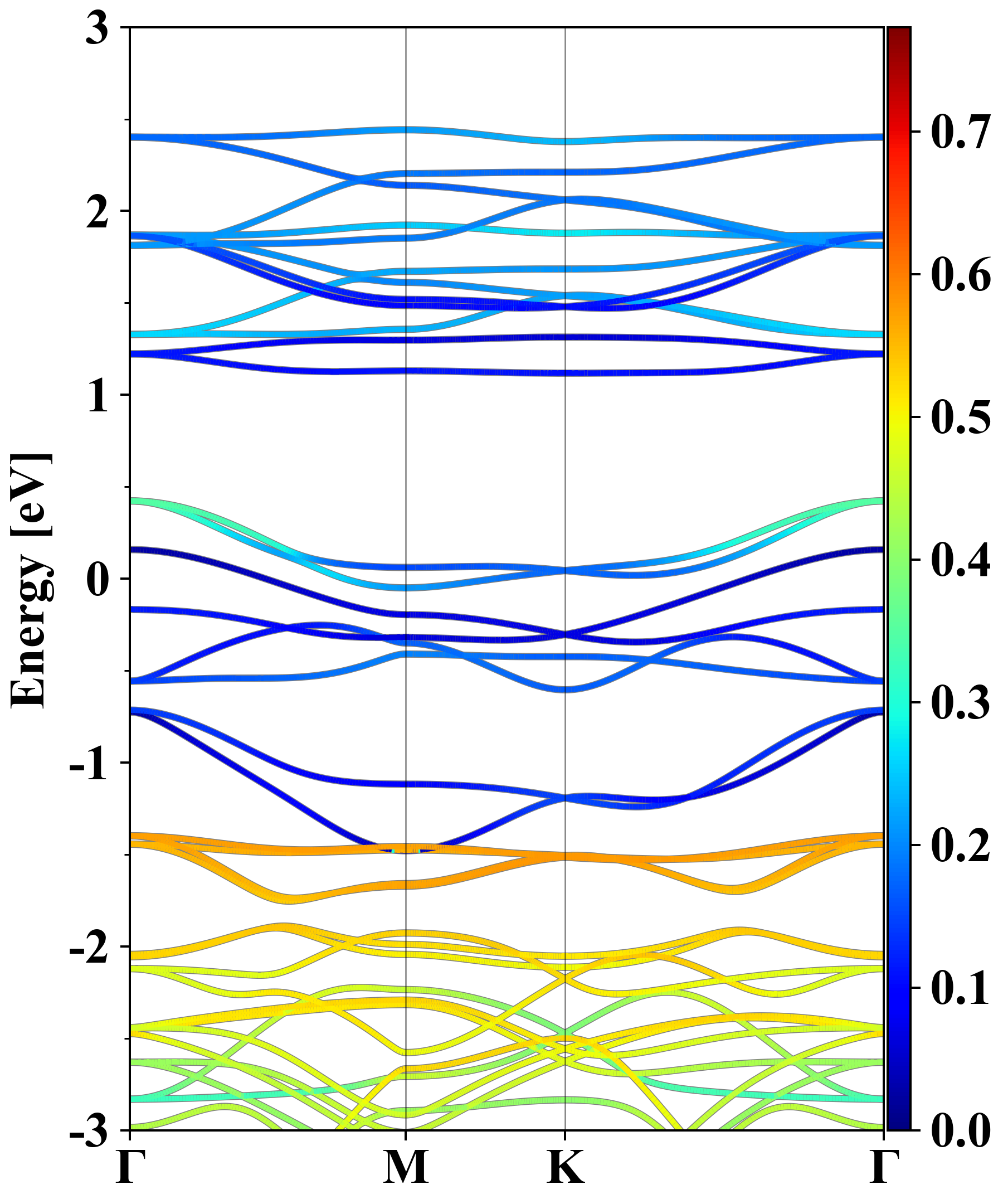
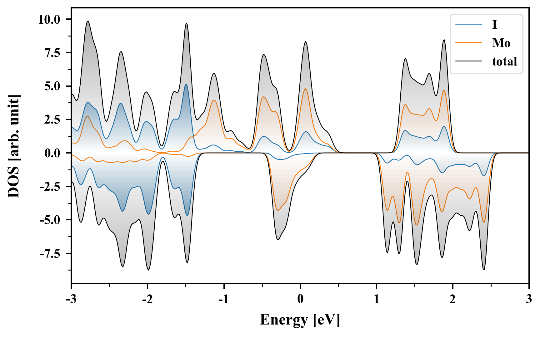
| Band gap (PBE) (eV) |
0.00 |
| Free energy (eV) |
-25.964 |
| Free energy / atom (eV) |
-3.246 |
Lattice Parameters (basic)
| a, b, c (Å): | 6.841 | 6.841 | 30.000 |
| α, β, γ (°): | 90.000 | 90.000 | 120.000 |
Lattice Parameters (computed)
| a, b, c (Å): | 6.951 | 6.951 | 30.000 |
| α, β, γ (°): | 90.000 | 90.000 | 120.000 |
| Property |
Value |
| Band gap |
0.00 eV |
| E-fermi |
-2.579 eV |
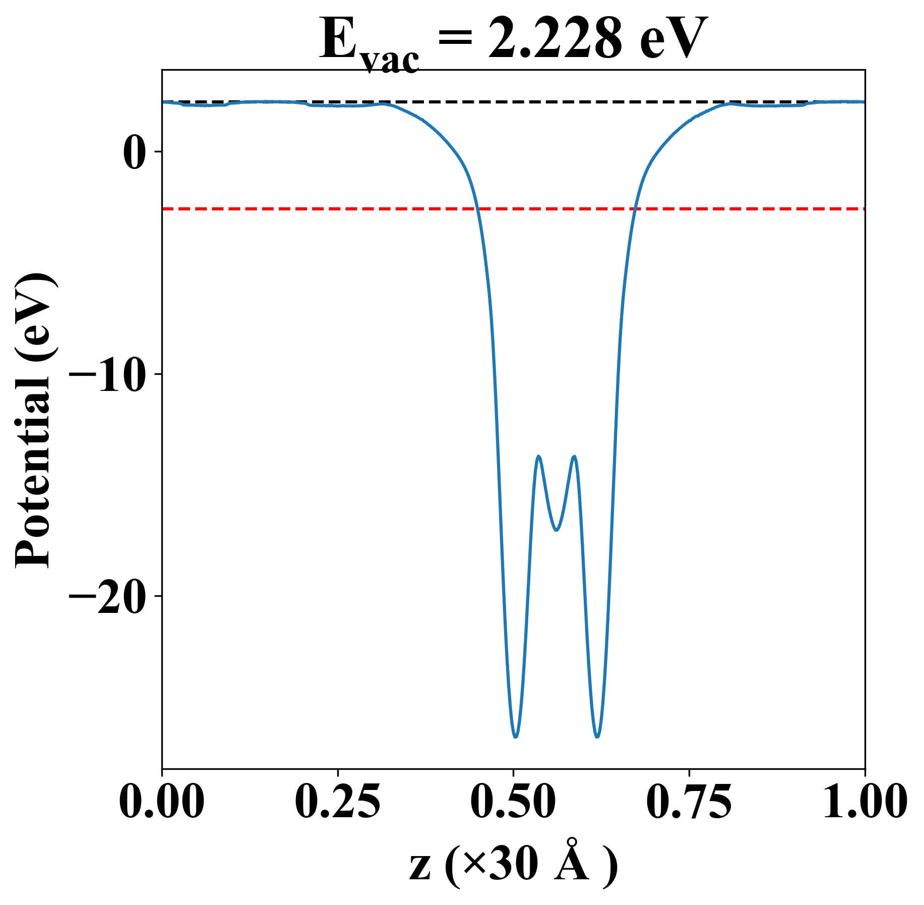
| Vacuum level |
2.228 eV |
| VBM |
-2.580 eV |
| CBM |
-2.578 eV |
| Work function |
4.807 eV |
| Direct gap |
No |
| Property |
Value |
| Band gap |
0.00 eV |
| E-fermi |
-2.579 eV |
| Vacuum level |
2.228 eV |
| VBM |
-2.580 eV |
| CBM |
-2.578 eV |
| Work function |
4.807 eV |
| Cij (N/m) |
xx |
yy |
xy |
| xx |
2.325 |
-16.676 |
-0.000 |
| yy |
-16.676 |
2.325 |
-0.000 |
| xy |
-0.000 |
-0.000 |
9.500 |
| Phonon mode at Γ point (THz) |
| -0.004 |
| -0.002 |
| -0.001 |
| 1.360 |
| 1.360 |
| 1.443 |
| 1.752 |
| 1.752 |
| 1.757 |
| 2.827 |
| 2.827 |
| 2.884 |
| 2.884 |
| 2.910 |
| 3.316 |
| 3.316 |
| 3.856 |
| 3.959 |
| 4.884 |
| 4.884 |
| 5.555 |
| 5.555 |
| 5.570 |
| 5.840 |
| Property |
Value |
| from where |
c2db-1279 |