I6Mo2
MatHub2d-756-I6Mo2
| Property |
Value |
| Space group |
(162, 'P-31m') |
| Crystal system |
hexagonal |
| Magnetic |
Yes |
| Band gap (PBE) (eV) |
0.00 |
| Free energy (eV) |
-29.055 |
| Free energy / atom (eV) |
-3.632 |
Lattice Parameters (basic)
| a, b, c (Å): | 7.187 | 7.187 | 30.000 |
| α, β, γ (°): | 90.000 | 90.000 | 120.000 |
Lattice Parameters (computed)
| a, b, c (Å): | 7.245 | 7.245 | 30.000 |
| α, β, γ (°): | 90.000 | 90.000 | 120.000 |
| Property |
Value |
| Band gap |
0.00 eV |
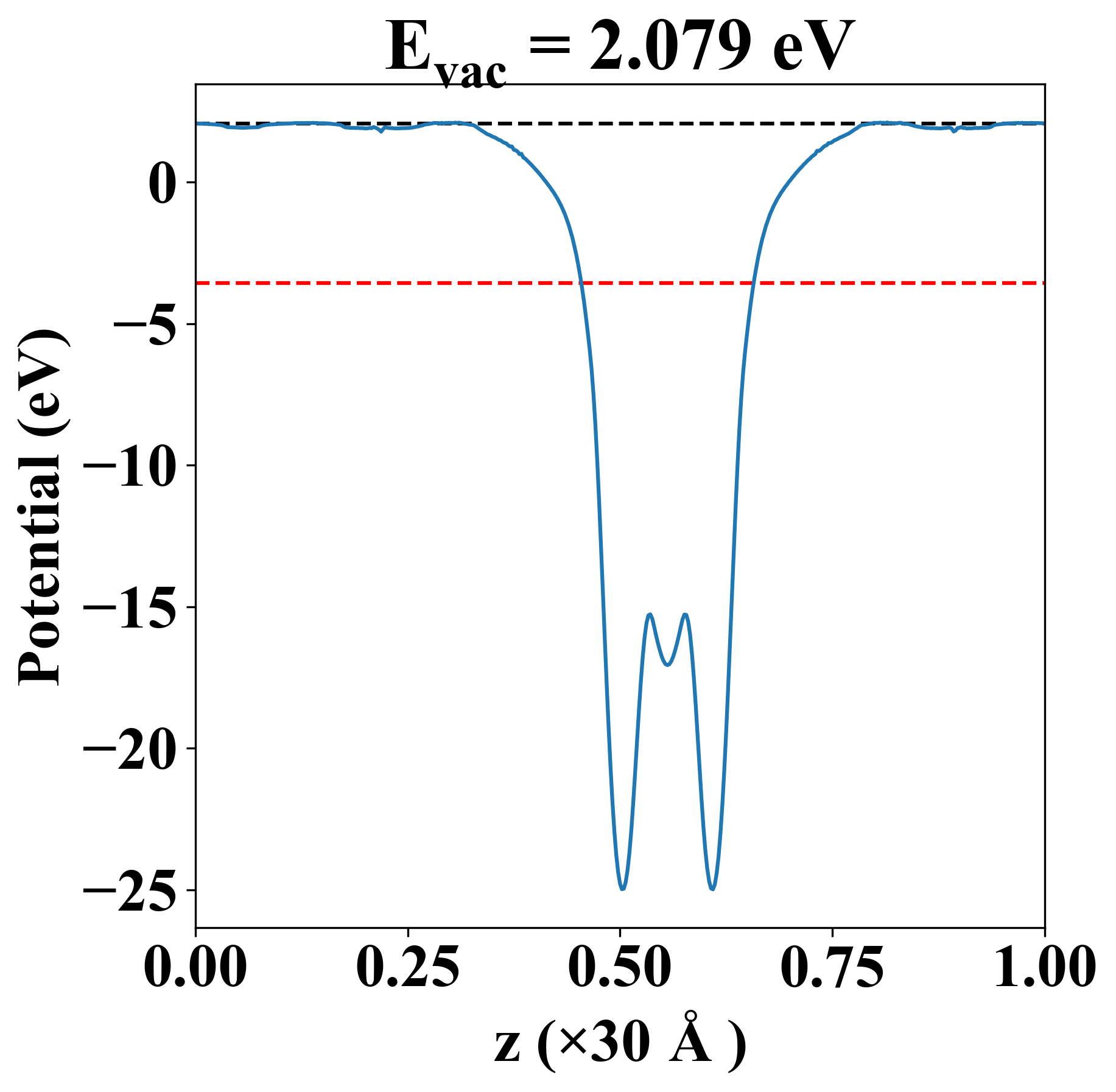
| E-fermi |
-3.554 eV |
| Vacuum level |
2.079 eV |
| VBM |
-3.831 eV |
| CBM |
-1.713 eV |
| Work function |
5.633 eV |
| Direct gap |
Yes |
| Property |
Value |
| Band gap |
2.08 eV |
| E-fermi |
-3.498 eV |
| VBM |
-3.781 eV |
| CBM |
-1.706 eV |
| Free energy (eV) |
-30.050 |
| Free energy / atom (eV) |
-3.756 |
| Property |
Value |
| Band gap |
0.00 eV |
| E-fermi |
-3.554 eV |
| Vacuum level |
2.079 eV |
| VBM |
-3.831 eV |
| CBM |
-1.713 eV |
| Work function |
5.633 eV |
| Cij (N/m) |
xx |
yy |
xy |
| xx |
0.229 |
-12.295 |
0.000 |
| yy |
-12.295 |
0.229 |
-0.000 |
| xy |
0.000 |
-0.000 |
6.262 |
| Phonon mode at Γ point (THz) |
| -1.677 |
| -1.677 |
| -0.003 |
| -0.003 |
| 0.002 |
| 1.489 |
| 1.489 |
| 1.557 |
| 1.769 |
| 2.154 |
| 2.154 |
| 2.295 |
| 2.725 |
| 2.725 |
| 2.828 |
| 2.828 |
| 3.110 |
| 3.501 |
| 3.511 |
| 3.511 |
| 3.967 |
| 4.093 |
| 4.336 |
| 4.336 |
| Property |
Value |
| from where |
c2db-1156 |