I6Mn2
MatHub2d-755-I6Mn2
| Property |
Value |
| Space group |
(189, 'P-62m') |
| Crystal system |
hexagonal |
| Magnetic |
Yes |
| Band gap (PBE) (eV) |
0.00 |
| Free energy (eV) |
-26.103 |
| Free energy / atom (eV) |
-3.263 |
Lattice Parameters (basic)
| a, b, c (Å): | 7.561 | 7.561 | 30.000 |
| α, β, γ (°): | 90.000 | 90.000 | 120.000 |
Lattice Parameters (computed)
| a, b, c (Å): | 7.735 | 7.735 | 30.000 |
| α, β, γ (°): | 90.000 | 90.000 | 120.000 |
| Property |
Value |
| Band gap |
0.00 eV |
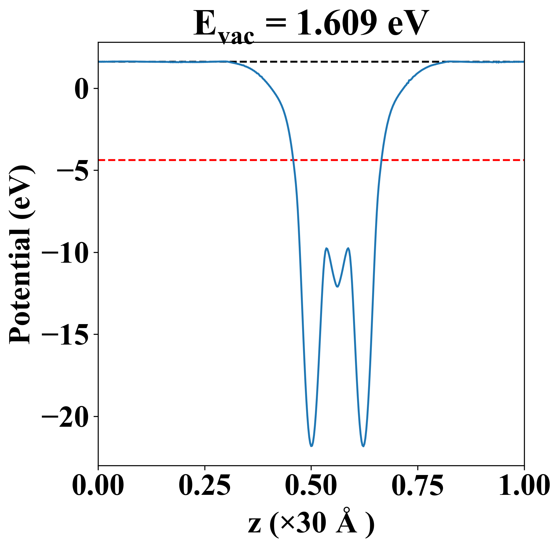
| E-fermi |
-4.391 eV |
| Vacuum level |
1.609 eV |
| VBM |
-4.391 eV |
| CBM |
-4.391 eV |
| Work function |
6.000 eV |
| Direct gap |
No |
| Property |
Value |
| Band gap |
0.00 eV |
| E-fermi |
-4.391 eV |
| Vacuum level |
1.609 eV |
| VBM |
-4.391 eV |
| CBM |
-4.391 eV |
| Work function |
6.000 eV |
| Cij (N/m) |
xx |
yy |
xy |
| xx |
19.779 |
6.427 |
0.000 |
| yy |
6.427 |
19.779 |
0.000 |
| xy |
0.000 |
0.000 |
6.676 |
| Phonon mode at Γ point (THz) |
| -0.052 |
| -0.021 |
| -0.021 |
| 0.544 |
| 0.616 |
| 0.616 |
| 0.884 |
| 0.884 |
| 1.055 |
| 1.060 |
| 1.683 |
| 1.683 |
| 1.908 |
| 1.908 |
| 1.933 |
| 1.933 |
| 2.509 |
| 2.595 |
| 2.825 |
| 2.825 |
| 2.901 |
| 2.994 |
| 3.846 |
| 3.846 |
| Property |
Value |
| from where |
c2db-1274 |