I6Mn2
MatHub2d-754-I6Mn2
| Property |
Value |
| Space group |
(162, 'P-31m') |
| Crystal system |
hexagonal |
| Magnetic |
Yes |
| Band gap (PBE) (eV) |
0.00 |
| Free energy (eV) |
-26.666 |
| Free energy / atom (eV) |
-3.333 |
Lattice Parameters (basic)
| a, b, c (Å): | 7.099 | 7.099 | 30.000 |
| α, β, γ (°): | 90.000 | 90.000 | 120.000 |
Lattice Parameters (computed)
| a, b, c (Å): | 7.106 | 7.106 | 30.000 |
| α, β, γ (°): | 90.000 | 90.000 | 120.000 |
| Property |
Value |
| Band gap |
0.00 eV |
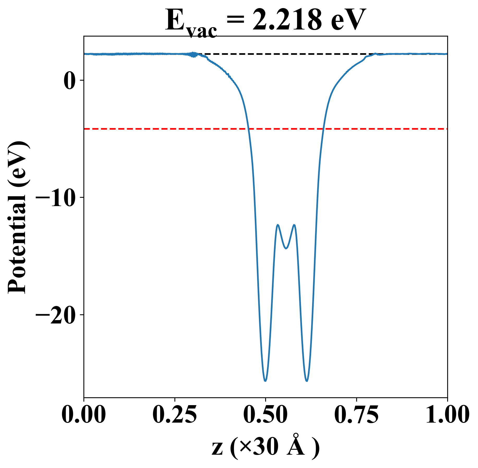
| E-fermi |
-4.160 eV |
| Vacuum level |
2.218 eV |
| VBM |
-4.160 eV |
| CBM |
-4.160 eV |
| Work function |
6.378 eV |
| Direct gap |
No |
| Property |
Value |
| Band gap |
0.00 eV |
| E-fermi |
-4.160 eV |
| Vacuum level |
2.218 eV |
| VBM |
-4.160 eV |
| CBM |
-4.160 eV |
| Work function |
6.378 eV |
| Cij (N/m) |
xx |
yy |
xy |
| xx |
17.235 |
2.786 |
-0.000 |
| yy |
2.786 |
17.235 |
0.000 |
| xy |
-0.000 |
0.000 |
7.225 |
| Phonon mode at Γ point (THz) |
| -0.028 |
| -0.028 |
| -0.012 |
| 1.263 |
| 1.263 |
| 1.450 |
| 1.450 |
| 1.514 |
| 1.514 |
| 1.597 |
| 1.895 |
| 1.922 |
| 2.051 |
| 2.051 |
| 2.176 |
| 2.176 |
| 2.311 |
| 2.668 |
| 2.811 |
| 2.811 |
| 2.837 |
| 3.353 |
| 3.353 |
| 4.051 |
| Property |
Value |
| from where |
c2db-1152 |