I6Ir2
MatHub2d-753-I6Ir2
| Property |
Value |
| Space group |
(189, 'P-62m') |
| Crystal system |
hexagonal |
| Magnetic |
No |
| Band gap (PBE) (eV) |
0.45 |
| Free energy (eV) |
-20.041 |
| Free energy / atom (eV) |
-2.505 |
Lattice Parameters (basic)
| a, b, c (Å): | 7.041 | 7.041 | 30.000 |
| α, β, γ (°): | 90.000 | 90.000 | 120.000 |
Lattice Parameters (computed)
| a, b, c (Å): | 6.977 | 6.977 | 30.000 |
| α, β, γ (°): | 90.000 | 90.000 | 120.000 |
| Property |
Value |
| Band gap |
0.45 eV |
| E-fermi |
-2.360 eV |
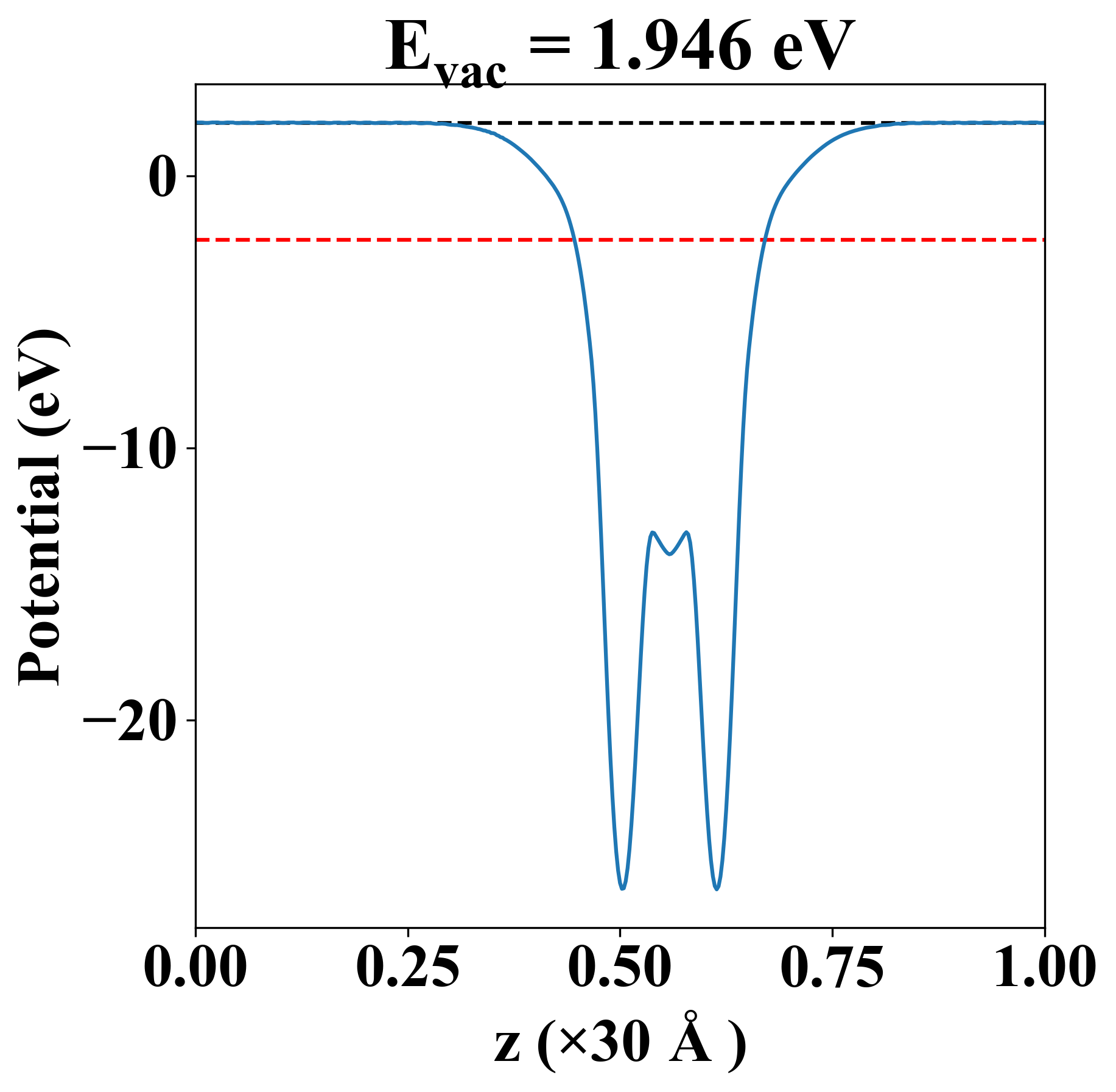
| Vacuum level |
1.946 eV |
| VBM |
-2.580 eV |
| CBM |
-2.134 eV |
| Work function |
4.306 eV |
| Direct gap |
No |
| Property |
Value |
| Band gap |
0.28 eV |
| E-fermi |
-2.420 eV |
| VBM |
-2.557 eV |
| CBM |
-2.279 eV |
| Free energy (eV) |
-21.740 |
| Free energy / atom (eV) |
-2.717 |
| Property |
Value |
| Band gap |
0.45 eV |
| E-fermi |
-2.360 eV |
| Vacuum level |
1.946 eV |
| VBM |
-2.580 eV |
| CBM |
-2.134 eV |
| Work function |
4.306 eV |
| Cij (N/m) |
xx |
yy |
xy |
| xx |
11.904 |
2.550 |
-0.000 |
| yy |
2.550 |
11.904 |
0.000 |
| xy |
-0.000 |
0.000 |
4.677 |
| Phonon mode at Γ point (THz) |
| -2.177 |
| -0.002 |
| -0.002 |
| -0.002 |
| 1.288 |
| 1.288 |
| 1.484 |
| 1.484 |
| 1.652 |
| 1.786 |
| 2.357 |
| 2.357 |
| 2.444 |
| 2.444 |
| 2.756 |
| 2.945 |
| 2.945 |
| 3.378 |
| 3.378 |
| 3.441 |
| 3.733 |
| 3.733 |
| 3.984 |
| 4.208 |
| Property |
Value |
| from where |
c2db-1269 |