I6Ir2
MatHub2d-752-I6Ir2
| Property |
Value |
| Space group |
(162, 'P-31m') |
| Crystal system |
hexagonal |
| Magnetic |
No |
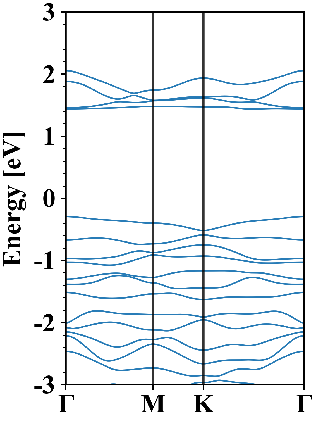
| Band gap (PBE) (eV) |
1.93 |
| Free energy (eV) |
-23.301 |
| Free energy / atom (eV) |
-2.913 |
Lattice Parameters (basic)
| a, b, c (Å): | 6.947 | 6.947 | 30.000 |
| α, β, γ (°): | 90.000 | 90.000 | 120.000 |
Lattice Parameters (computed)
| a, b, c (Å): | 6.914 | 6.914 | 30.000 |
| α, β, γ (°): | 90.000 | 90.000 | 120.000 |
| Property |
Value |
| Band gap |
1.93 eV |
| E-fermi |
-3.387 eV |
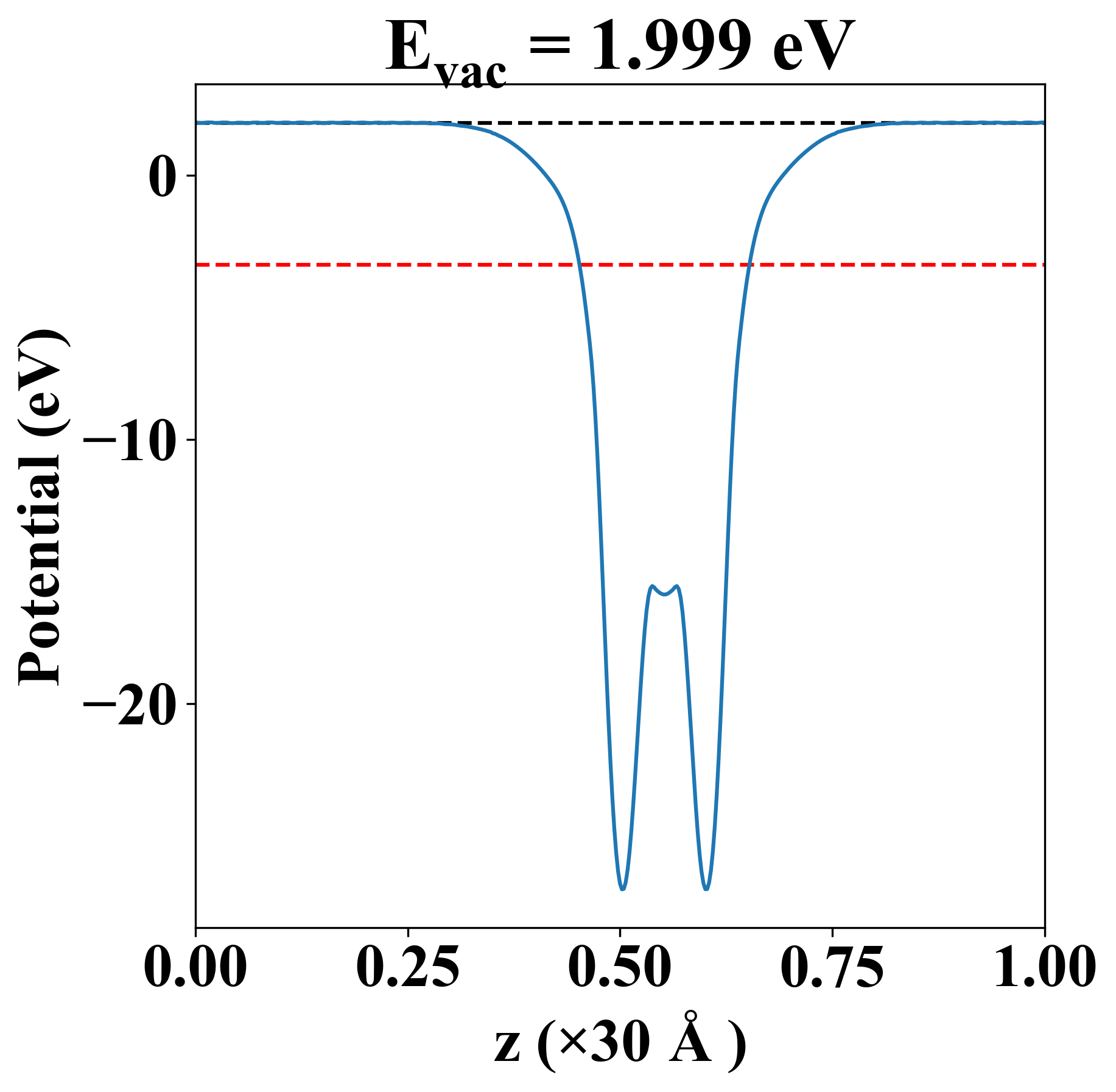
| Vacuum level |
1.999 eV |
| VBM |
-3.629 eV |
| CBM |
-1.697 eV |
| Work function |
5.385 eV |
| Direct gap |
No |
| Property |
Value |
| Band gap |
1.73 eV |
| E-fermi |
-3.133 eV |
| VBM |
-3.426 eV |
| CBM |
-1.698 eV |
| Free energy (eV) |
-24.832 |
| Free energy / atom (eV) |
-3.104 |
| Property |
Value |
| Band gap |
1.93 eV |
| E-fermi |
-3.387 eV |
| Vacuum level |
1.999 eV |
| VBM |
-3.629 eV |
| CBM |
-1.697 eV |
| Work function |
5.385 eV |
| Cij (N/m) |
xx |
yy |
xy |
| xx |
35.504 |
11.931 |
0.000 |
| yy |
11.931 |
35.504 |
-0.000 |
| xy |
0.000 |
-0.000 |
11.786 |
| Phonon mode at Γ point (THz) |
| -0.002 |
| -0.001 |
| 0.001 |
| 1.652 |
| 1.652 |
| 1.777 |
| 2.333 |
| 2.392 |
| 2.392 |
| 2.419 |
| 3.260 |
| 3.260 |
| 3.826 |
| 3.826 |
| 3.882 |
| 3.882 |
| 4.451 |
| 4.528 |
| 4.966 |
| 4.966 |
| 5.100 |
| 5.313 |
| 5.313 |
| 5.325 |
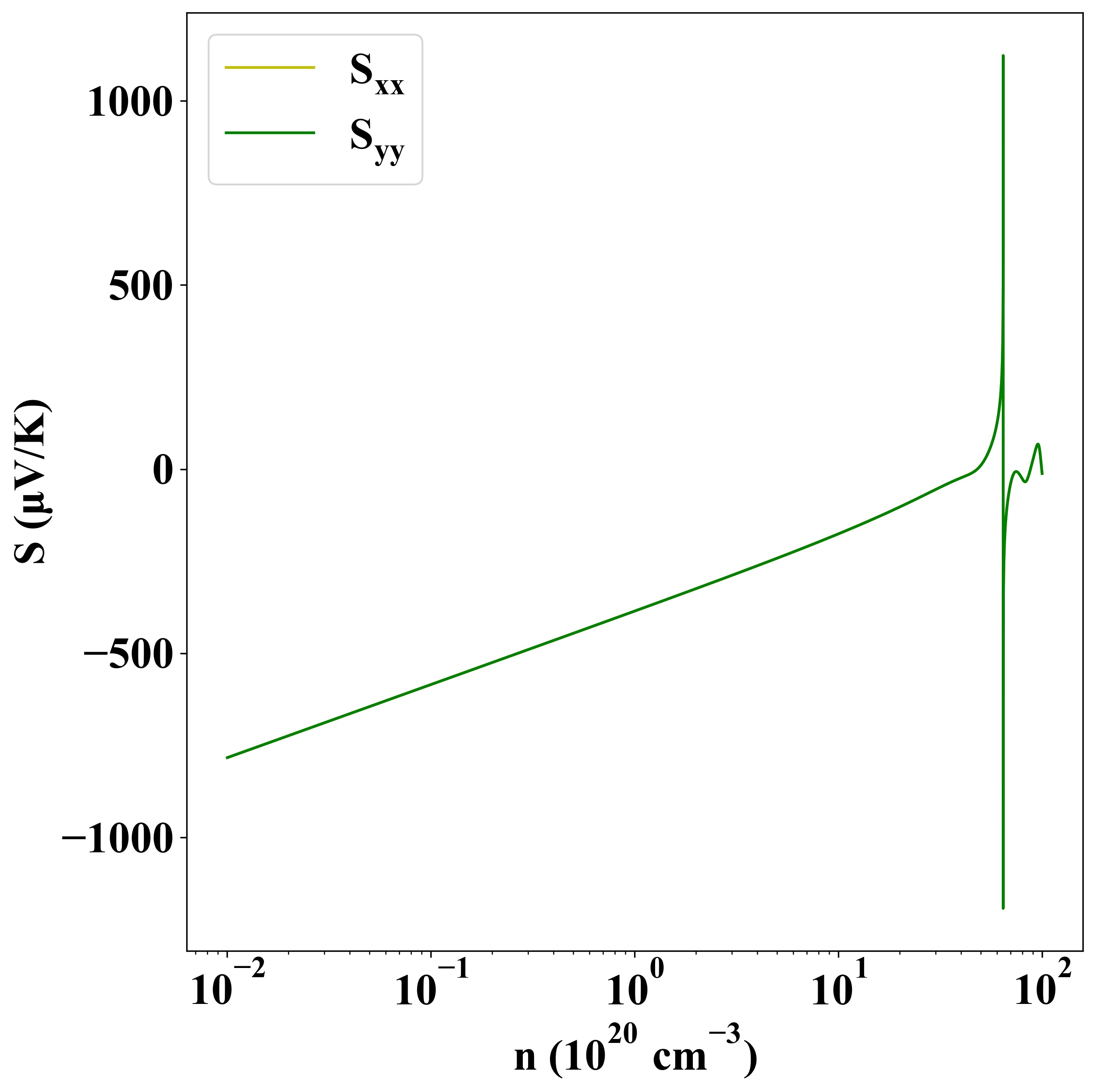
| Carrier type |
C2D (N/m) |
Edef (eV) |
μ (cm2V-1s-1) |
| x |
y |
x |
y |
x |
y |
| hole |
34.65 |
34.70 |
-1.19 |
-2.34 |
-13.82 |
-3.59 |
| electron |
-2.01 |
-2.06 |
5.45 |
5.22 |
| Property |
Value |
| from where |
c2db-1148 |