I6In2
MatHub2d-751-I6In2
| Property |
Value |
| Space group |
(189, 'P-62m') |
| Crystal system |
hexagonal |
| Magnetic |
No |
| Band gap (PBE) (eV) |
1.00 |
| Free energy (eV) |
-17.016 |
| Free energy / atom (eV) |
-2.127 |
Lattice Parameters (basic)
| a, b, c (Å): | 7.669 | 7.669 | 30.000 |
| α, β, γ (°): | 90.000 | 90.000 | 120.000 |
Lattice Parameters (computed)
| a, b, c (Å): | 7.651 | 7.651 | 30.000 |
| α, β, γ (°): | 90.000 | 90.000 | 120.000 |
| Property |
Value |
| Band gap |
1.00 eV |
| E-fermi |
-4.116 eV |
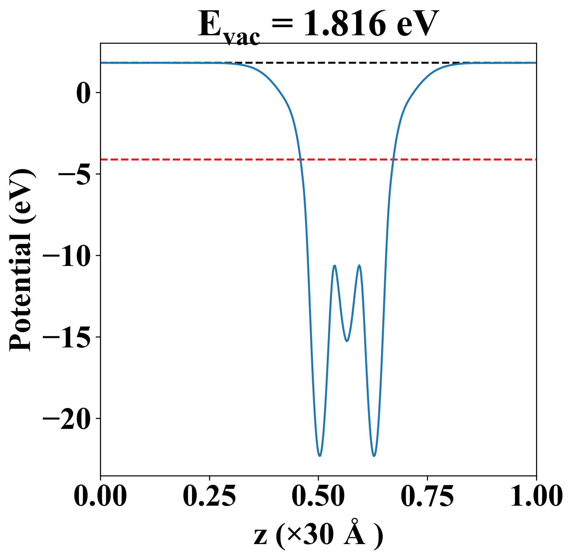
| Vacuum level |
1.816 eV |
| VBM |
-4.390 eV |
| CBM |
-3.386 eV |
| Work function |
5.932 eV |
| Direct gap |
No |
| Property |
Value |
| Band gap |
0.73 eV |
| E-fermi |
-3.760 eV |
| VBM |
-4.046 eV |
| CBM |
-3.320 eV |
| Free energy (eV) |
-18.020 |
| Free energy / atom (eV) |
-2.252 |
| Property |
Value |
| Band gap |
1.00 eV |
| E-fermi |
-4.116 eV |
| Vacuum level |
1.816 eV |
| VBM |
-4.390 eV |
| CBM |
-3.386 eV |
| Work function |
5.932 eV |
| Cij (N/m) |
xx |
yy |
xy |
| xx |
9.123 |
-3.842 |
0.000 |
| yy |
-3.842 |
9.123 |
-0.000 |
| xy |
0.000 |
-0.000 |
6.482 |
| Phonon mode at Γ point (THz) |
| -1.109 |
| -1.109 |
| -0.356 |
| -0.005 |
| -0.005 |
| -0.003 |
| 1.142 |
| 1.209 |
| 1.311 |
| 1.311 |
| 1.883 |
| 1.883 |
| 2.228 |
| 2.228 |
| 2.654 |
| 2.654 |
| 2.874 |
| 2.874 |
| 3.177 |
| 3.438 |
| 3.483 |
| 4.059 |
| 4.059 |
| 4.989 |
| Property |
Value |
| from where |
c2db-1266 |