I2Zr1
MatHub2d-748-I2Zr1
| Property |
Value |
| Space group |
(187, 'P-6m2') |
| Crystal system |
hexagonal |
| Magnetic |
No |
| Band gap (PBE) (eV) |
0.78 |
| Free energy (eV) |
-14.185 |
| Free energy / atom (eV) |
-4.728 |
Lattice Parameters (basic)
| a, b, c (Å): | 3.829 | 3.829 | 30.000 |
| α, β, γ (°): | 90.000 | 90.000 | 120.000 |
Lattice Parameters (computed)
| a, b, c (Å): | 3.829 | 3.829 | 30.000 |
| α, β, γ (°): | 90.000 | 90.000 | 120.000 |
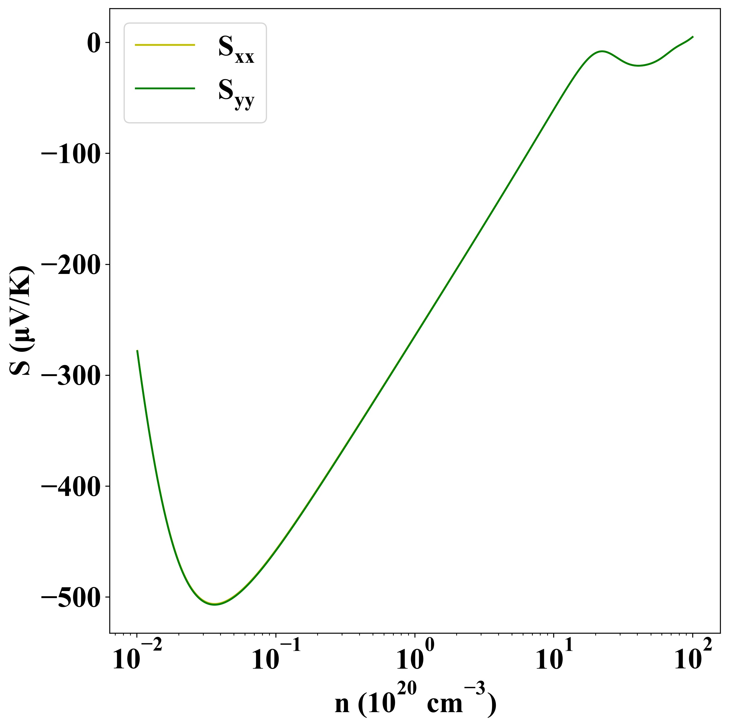
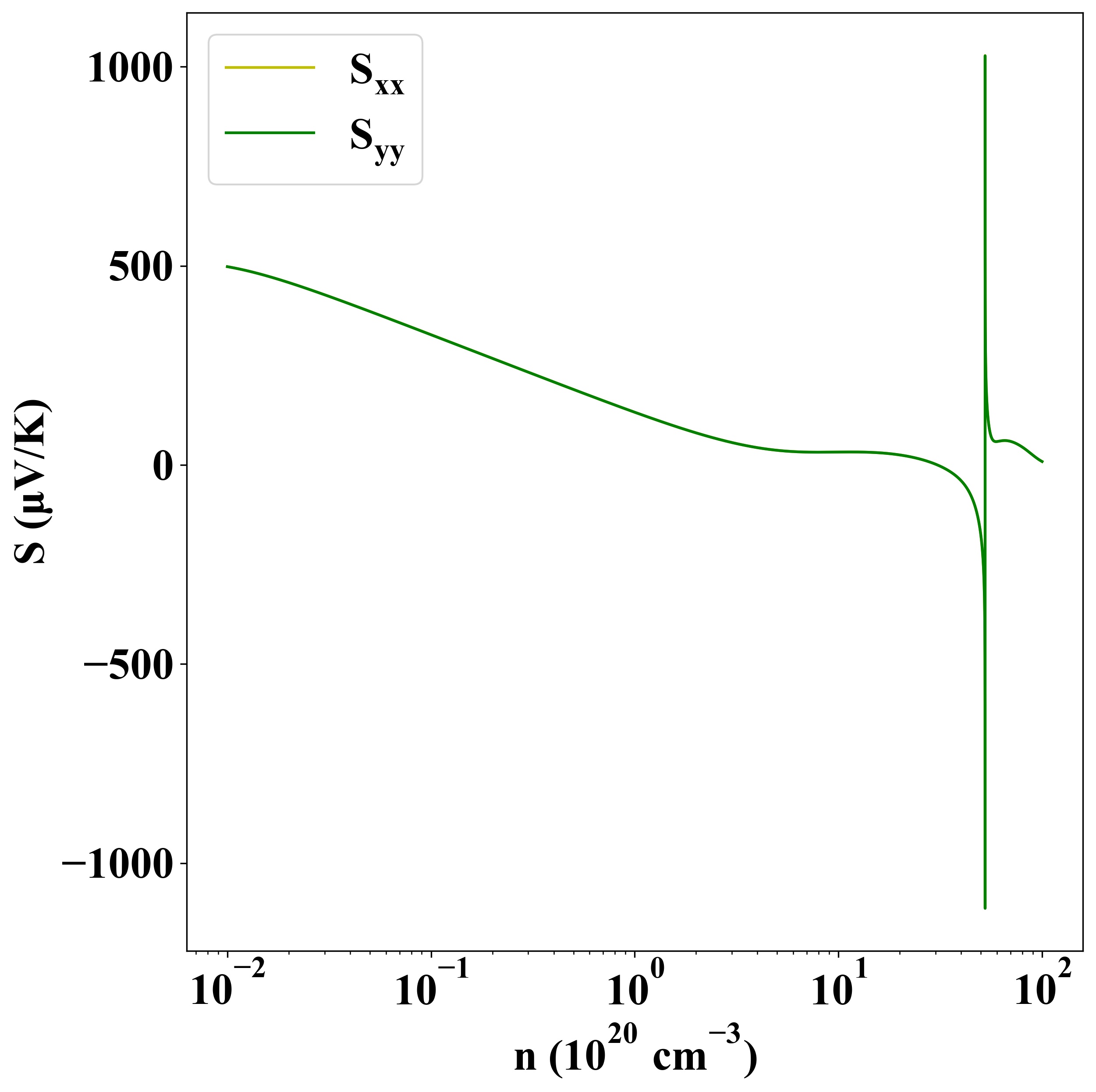
| Property |
Value |
| Band gap |
0.78 eV |
| E-fermi |
-0.560 eV |
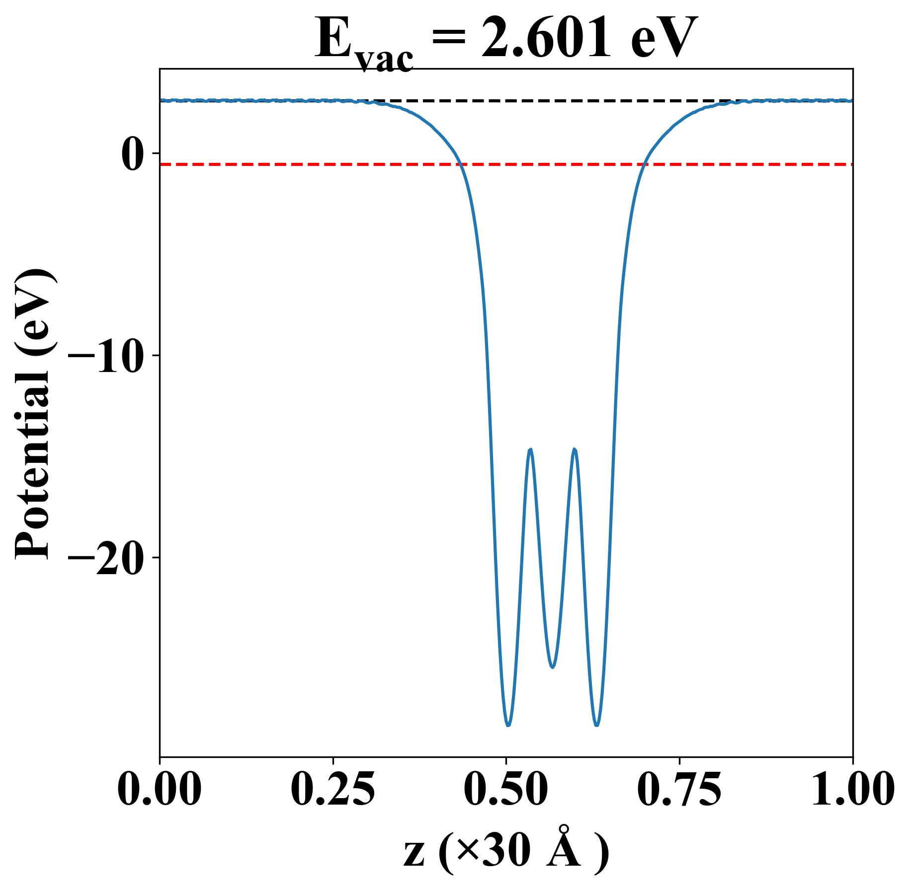
| Vacuum level |
2.601 eV |
| VBM |
-0.851 eV |
| CBM |
-0.074 eV |
| Work function |
3.161 eV |
| Direct gap |
No |
| Property |
Value |
| Band gap |
0.70 eV |
| E-fermi |
-0.439 eV |
| VBM |
-0.786 eV |
| CBM |
-0.088 eV |
| Free energy (eV) |
-14.510 |
| Free energy / atom (eV) |
-4.837 |
| Property |
Value |
| Band gap |
0.78 eV |
| E-fermi |
-0.560 eV |
| Vacuum level |
2.601 eV |
| VBM |
-0.851 eV |
| CBM |
-0.074 eV |
| Work function |
3.161 eV |
| Cij (N/m) |
xx |
yy |
xy |
| xx |
60.181 |
9.786 |
0.000 |
| yy |
9.786 |
60.181 |
0.000 |
| xy |
0.000 |
0.000 |
25.197 |
| Phonon mode at Γ point (THz) |
| -0.002 |
| 0.001 |
| 0.001 |
| 2.728 |
| 2.728 |
| 3.708 |
| 5.441 |
| 5.441 |
| 6.709 |
| Property |
Value |
| from where |
c2db-1089 |