I2Zr1
MatHub2d-747-I2Zr1
| Property |
Value |
| Space group |
(164, 'P-3m1') |
| Crystal system |
hexagonal |
| Magnetic |
|
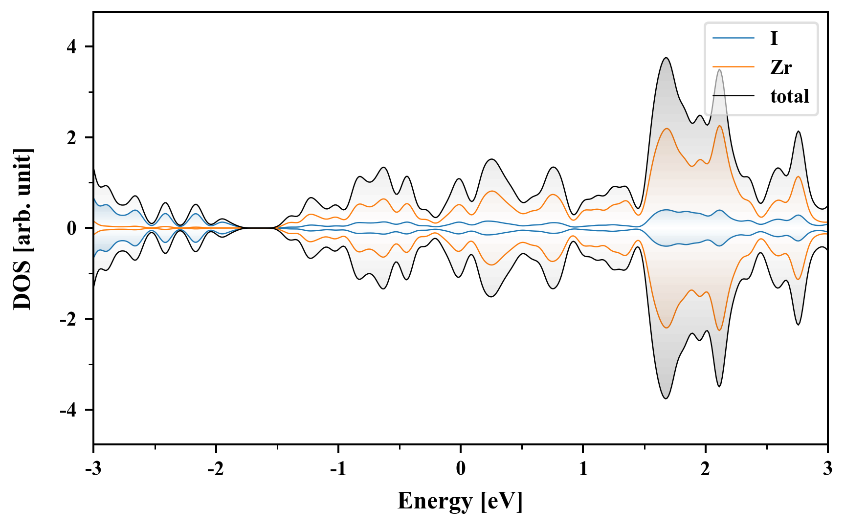
| Band gap (PBE) (eV) |
0.00 |
| Free energy (eV) |
-13.860 |
| Free energy / atom (eV) |
-4.620 |
Lattice Parameters (basic)
| a, b, c (Å): | 3.783 | 3.783 | 30.000 |
| α, β, γ (°): | 90.000 | 90.000 | 120.000 |
Lattice Parameters (computed)
| a, b, c (Å): | 3.764 | 3.764 | 30.000 |
| α, β, γ (°): | 90.000 | 90.000 | 120.000 |
| Property |
Value |
| Band gap |
0.00 eV |
| E-fermi |
-0.714 eV |
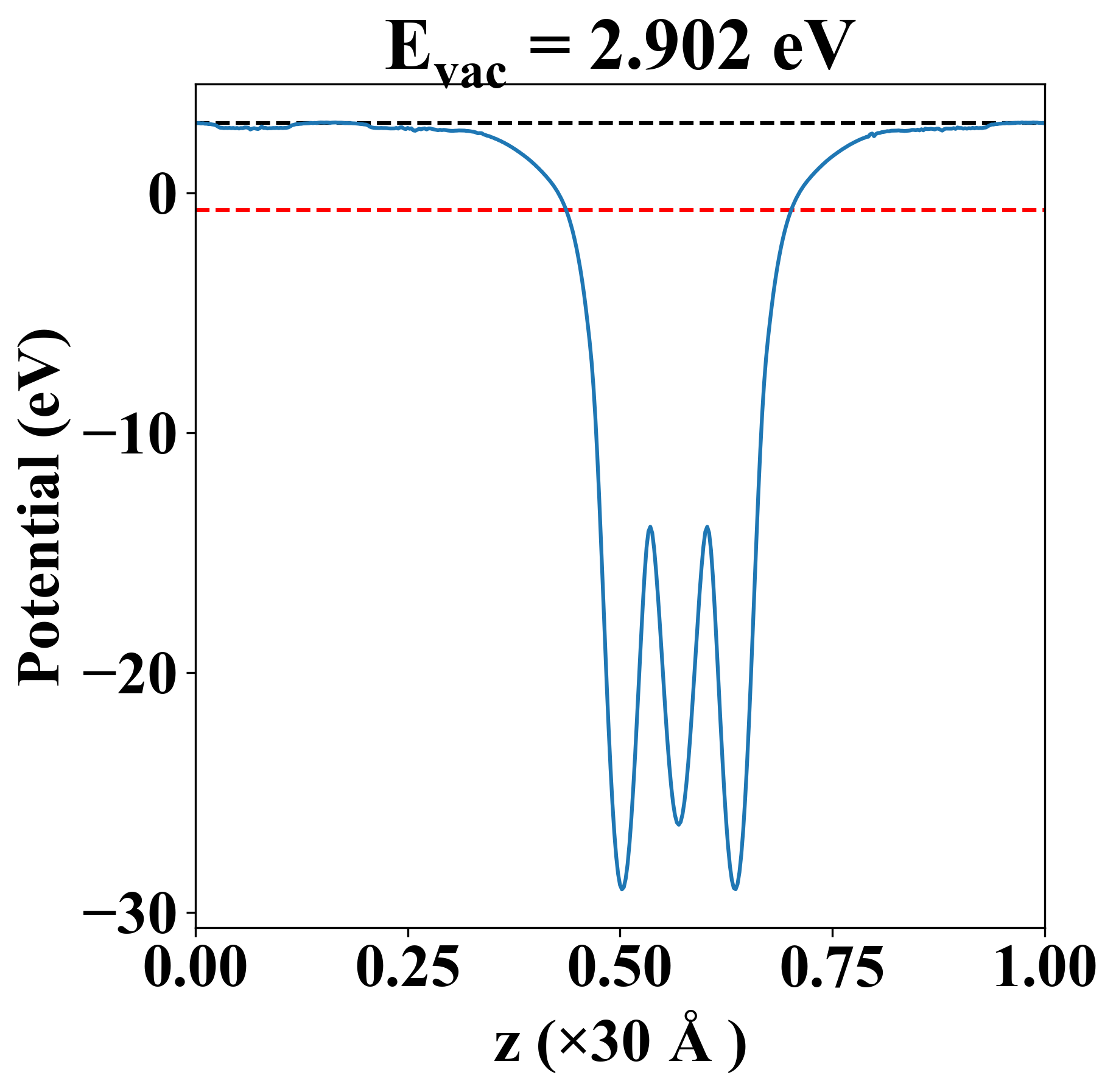
| Vacuum level |
2.902 eV |
| VBM |
-0.716 eV |
| CBM |
-0.710 eV |
| Work function |
3.616 eV |
| Direct gap |
No |
| Property |
Value |
| Band gap |
0.00 eV |
| E-fermi |
-0.714 eV |
| Vacuum level |
2.902 eV |
| VBM |
-0.716 eV |
| CBM |
-0.710 eV |
| Work function |
3.616 eV |
| Cij (N/m) |
xx |
yy |
xy |
| xx |
56.339 |
8.493 |
0.000 |
| yy |
8.493 |
56.339 |
0.000 |
| xy |
0.000 |
0.000 |
23.923 |
| Phonon mode at Γ point (THz) |
| -0.002 |
| -0.002 |
| 0.001 |
| 2.622 |
| 2.622 |
| 3.558 |
| 4.872 |
| 4.872 |
| 6.386 |
| Property |
Value |
| from where |
c2db-964 |