I2Zn1
MatHub2d-746-I2Zn1
| Property |
Value |
| Space group |
(187, 'P-6m2') |
| Crystal system |
hexagonal |
| Magnetic |
No |
| Band gap (PBE) (eV) |
1.40 |
| Free energy (eV) |
-4.511 |
| Free energy / atom (eV) |
-1.504 |
Lattice Parameters (basic)
| a, b, c (Å): | 4.011 | 4.011 | 30.000 |
| α, β, γ (°): | 90.000 | 90.000 | 120.000 |
Lattice Parameters (computed)
| a, b, c (Å): | 3.984 | 3.984 | 30.000 |
| α, β, γ (°): | 90.000 | 90.000 | 120.000 |
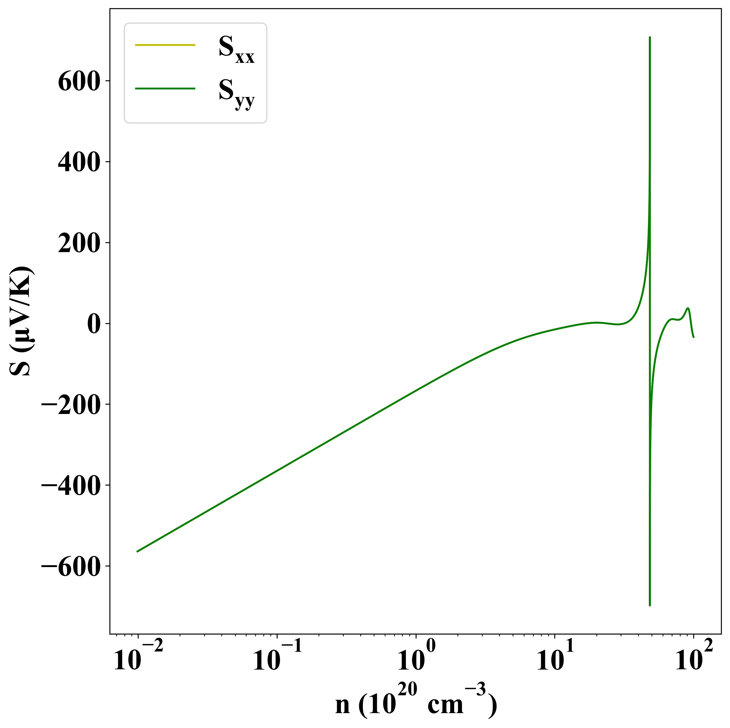
| Property |
Value |
| Band gap |
1.40 eV |
| E-fermi |
-3.495 eV |
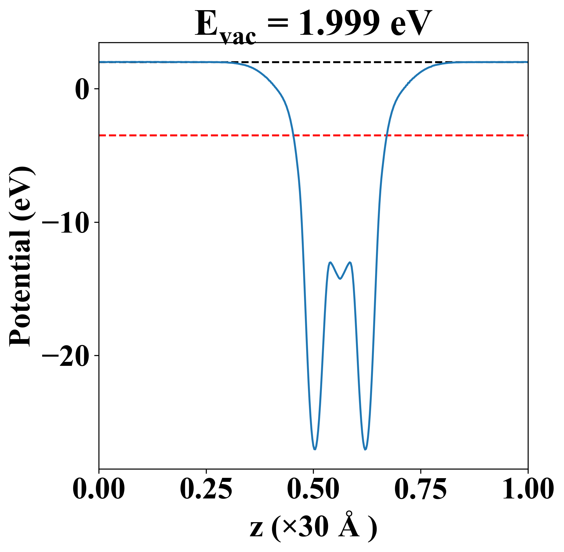
| Vacuum level |
1.999 eV |
| VBM |
-3.760 eV |
| CBM |
-2.363 eV |
| Work function |
5.494 eV |
| Direct gap |
No |
| Property |
Value |
| Band gap |
1.03 eV |
| E-fermi |
-3.135 eV |
| VBM |
-3.353 eV |
| CBM |
-2.321 eV |
| Free energy (eV) |
-4.802 |
| Free energy / atom (eV) |
-1.601 |
| Property |
Value |
| Band gap |
1.40 eV |
| E-fermi |
-3.495 eV |
| Vacuum level |
1.999 eV |
| VBM |
-3.760 eV |
| CBM |
-2.363 eV |
| Work function |
5.494 eV |
| Cij (N/m) |
xx |
yy |
xy |
| xx |
47.653 |
14.321 |
-0.000 |
| yy |
14.321 |
47.653 |
-0.000 |
| xy |
-0.000 |
-0.000 |
16.666 |
| Phonon mode at Γ point (THz) |
| -1.964 |
| -1.964 |
| -0.038 |
| -0.038 |
| -0.001 |
| 1.729 |
| 1.729 |
| 3.972 |
| 5.078 |
| Property |
Value |
| from where |
c2db-1086 |