I2Zn1
MatHub2d-745-I2Zn1
| Property |
Value |
| Space group |
(164, 'P-3m1') |
| Crystal system |
hexagonal |
| Magnetic |
No |
| Band gap (PBE) (eV) |
2.19 |
| Free energy (eV) |
-5.082 |
| Free energy / atom (eV) |
-1.694 |
Lattice Parameters (basic)
| a, b, c (Å): | 4.100 | 4.100 | 30.000 |
| α, β, γ (°): | 90.000 | 90.000 | 120.000 |
Lattice Parameters (computed)
| a, b, c (Å): | 4.064 | 4.064 | 30.000 |
| α, β, γ (°): | 90.000 | 90.000 | 120.000 |
| Property |
Value |
| Band gap |
2.19 eV |
| E-fermi |
-3.959 eV |
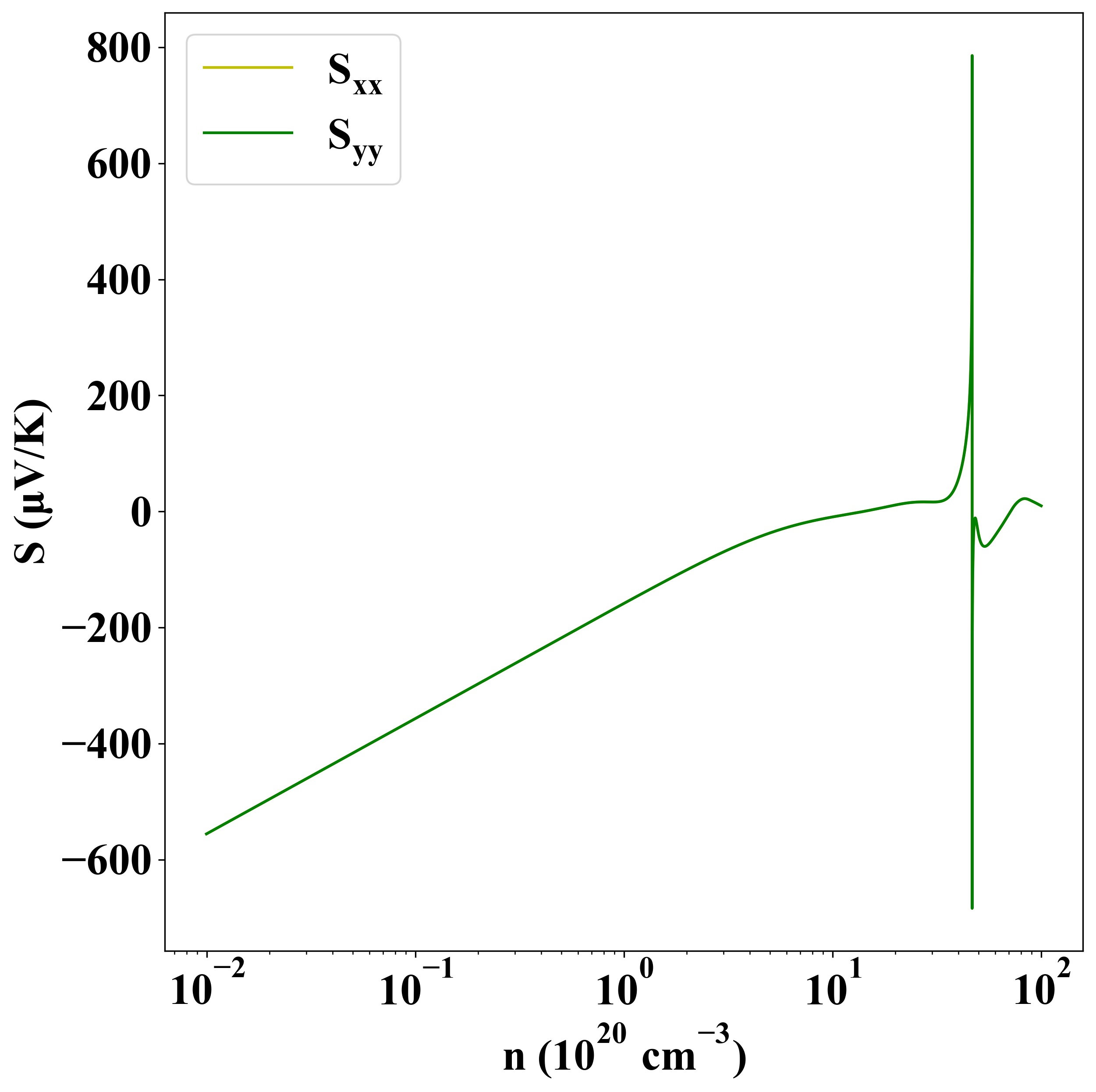
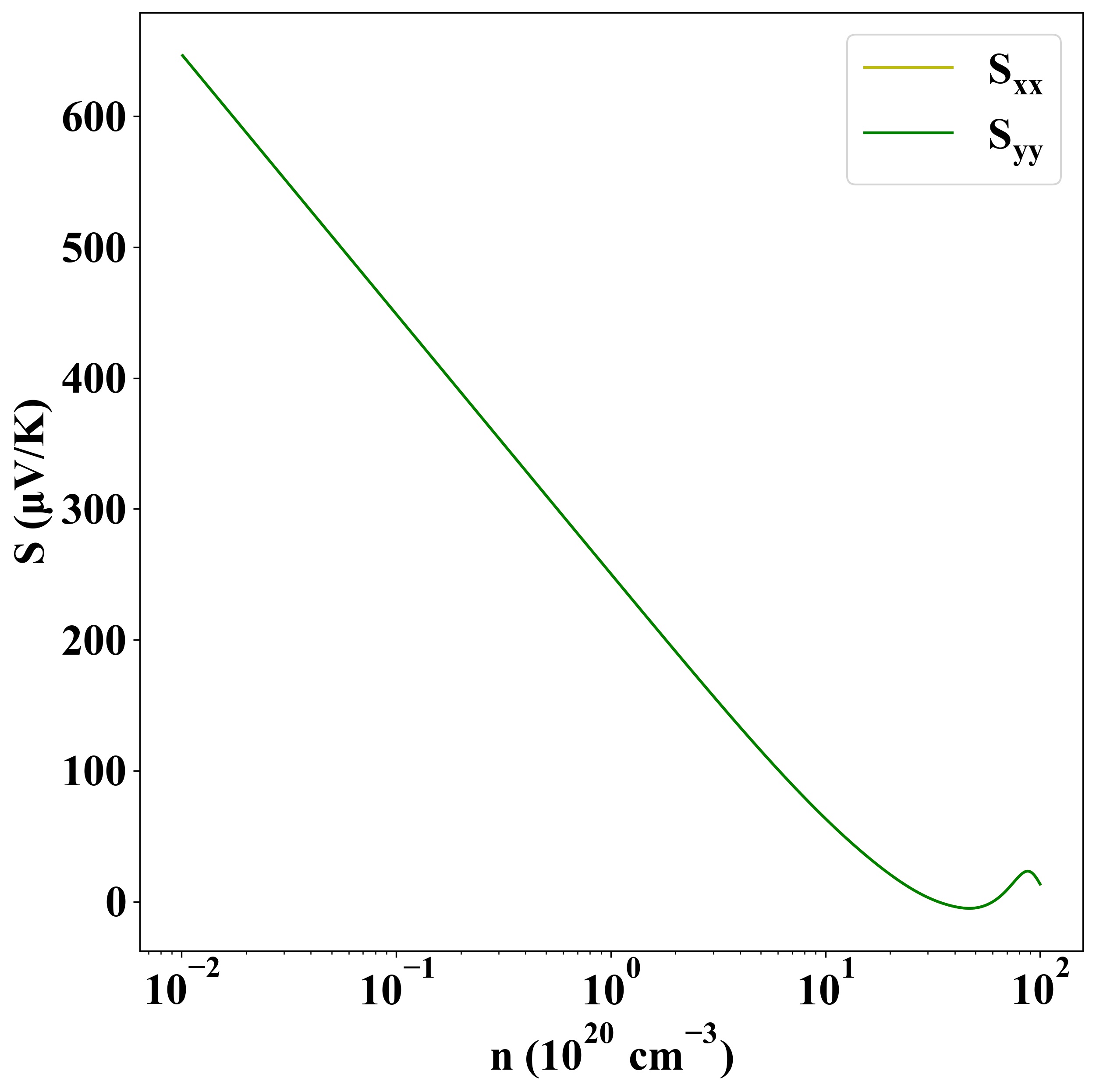
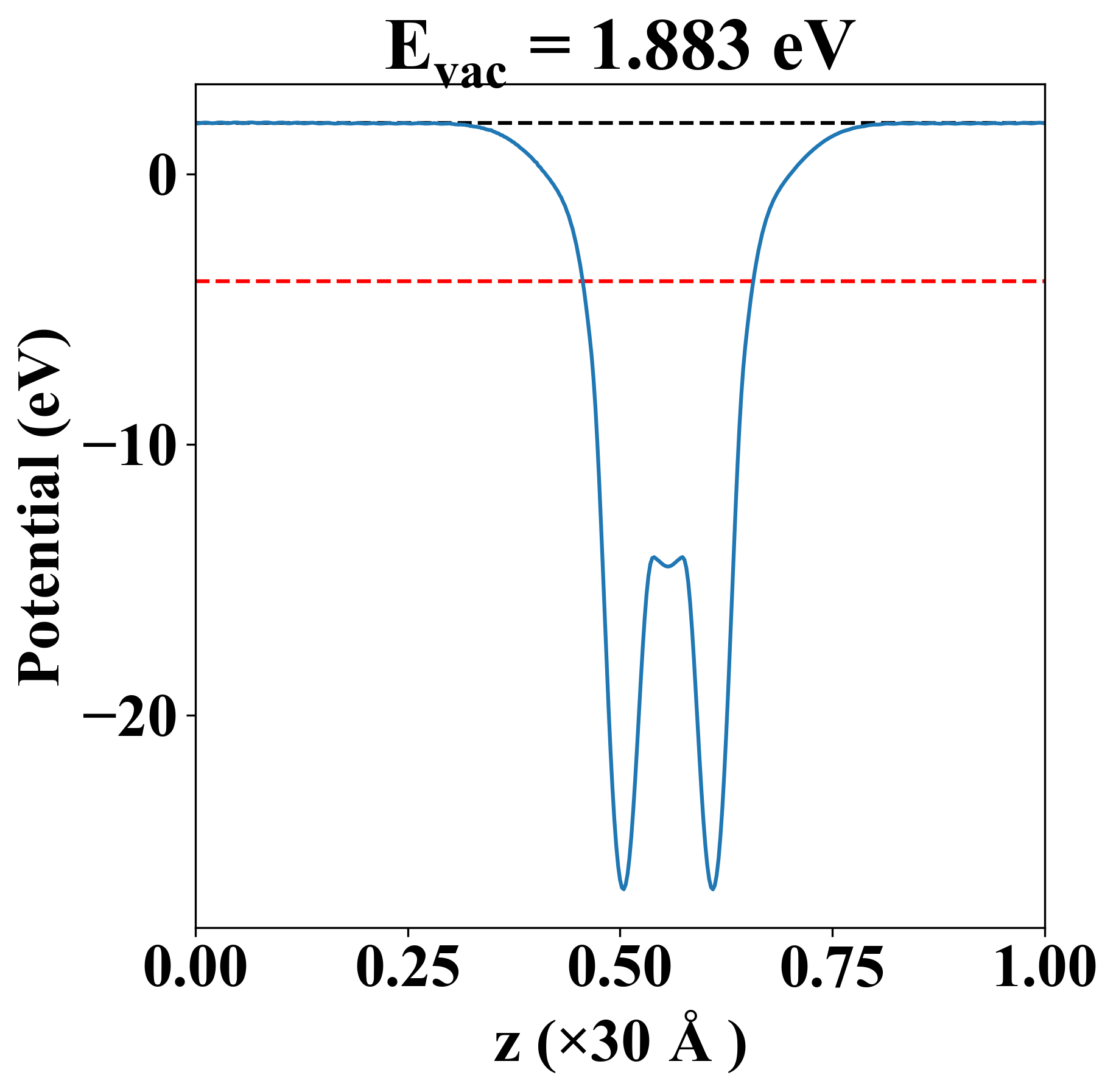
| Vacuum level |
1.883 eV |
| VBM |
-4.229 eV |
| CBM |
-2.038 eV |
| Work function |
5.842 eV |
| Direct gap |
No |
| Property |
Value |
| Band gap |
1.97 eV |
| E-fermi |
-3.729 eV |
| VBM |
-3.983 eV |
| CBM |
-2.012 eV |
| Free energy (eV) |
-5.356 |
| Free energy / atom (eV) |
-1.785 |
| Property |
Value |
| Band gap |
2.19 eV |
| E-fermi |
-3.959 eV |
| Vacuum level |
1.883 eV |
| VBM |
-4.229 eV |
| CBM |
-2.038 eV |
| Work function |
5.842 eV |
| Cij (N/m) |
xx |
yy |
xy |
| xx |
32.993 |
14.780 |
-0.000 |
| yy |
14.780 |
32.993 |
0.000 |
| xy |
-0.000 |
0.000 |
9.106 |
| Phonon mode at Γ point (THz) |
| -0.044 |
| -0.044 |
| -0.002 |
| 1.382 |
| 1.382 |
| 2.477 |
| 2.477 |
| 3.422 |
| 5.202 |
| Property |
Value |
| from where |
c2db-961 |