I2Y1
MatHub2d-744-I2Y1
| Property |
Value |
| Space group |
(187, 'P-6m2') |
| Crystal system |
hexagonal |
| Magnetic |
Yes |
| Band gap (PBE) (eV) |
0.00 |
| Free energy (eV) |
-13.329 |
| Free energy / atom (eV) |
-4.443 |
Lattice Parameters (basic)
| a, b, c (Å): | 4.105 | 4.105 | 30.000 |
| α, β, γ (°): | 90.000 | 90.000 | 120.000 |
Lattice Parameters (computed)
| a, b, c (Å): | 4.104 | 4.104 | 30.000 |
| α, β, γ (°): | 90.000 | 90.000 | 120.000 |
| Property |
Value |
| Band gap |
0.00 eV |
| E-fermi |
-1.433 eV |
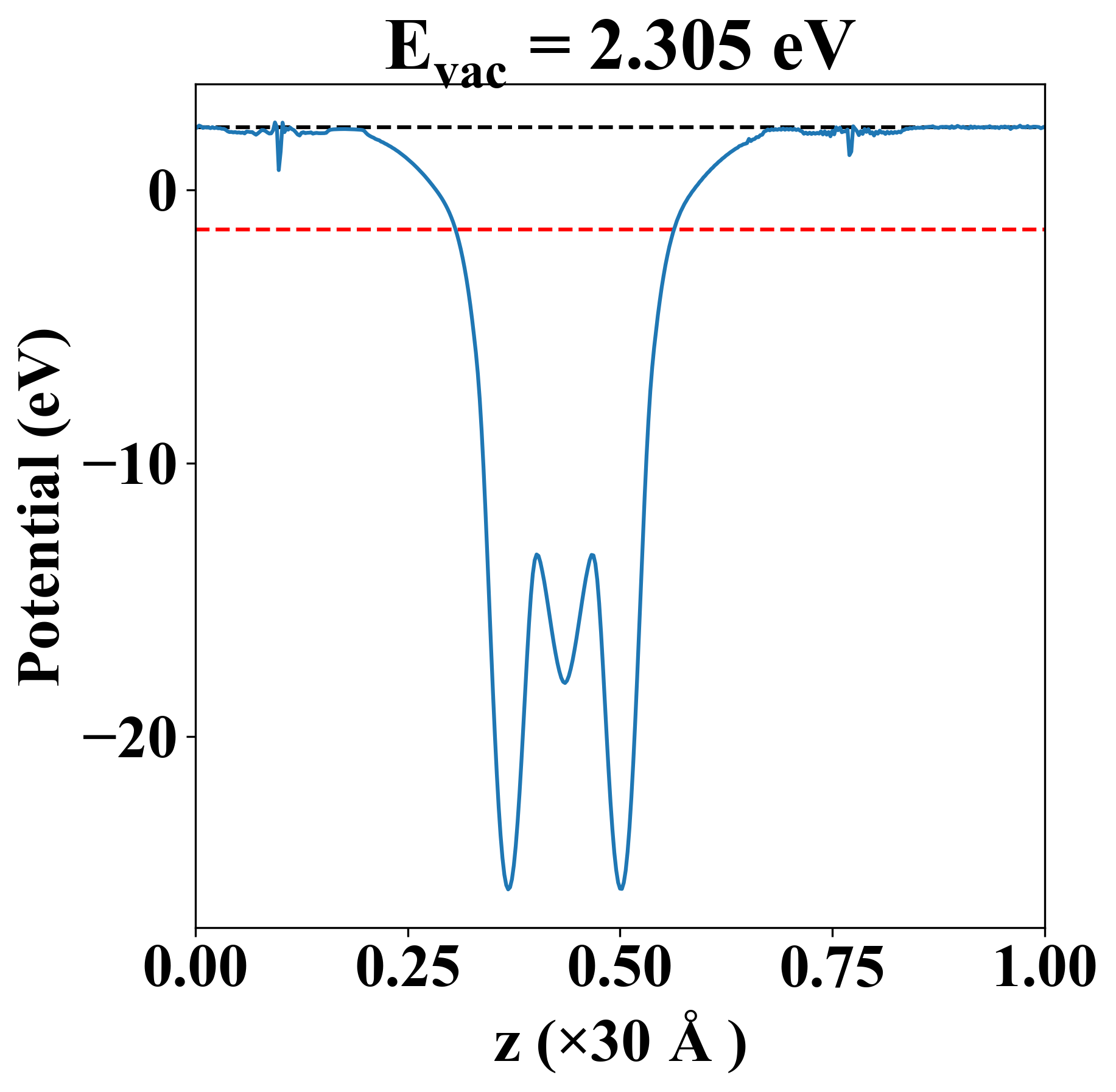
| Vacuum level |
2.305 eV |
| VBM |
-1.521 eV |
| CBM |
-1.348 eV |
| Work function |
3.738 eV |
| Direct gap |
No |
| Property |
Value |
| Band gap |
0.16 eV |
| E-fermi |
-1.431 eV |
| VBM |
-1.511 eV |
| CBM |
-1.349 eV |
| Free energy (eV) |
-13.631 |
| Free energy / atom (eV) |
-4.544 |
| Property |
Value |
| Band gap |
0.00 eV |
| E-fermi |
-1.433 eV |
| Vacuum level |
2.305 eV |
| VBM |
-1.521 eV |
| CBM |
-1.348 eV |
| Work function |
3.738 eV |
| Cij (N/m) |
xx |
yy |
xy |
| xx |
37.725 |
12.081 |
0.000 |
| yy |
12.081 |
37.725 |
0.000 |
| xy |
0.000 |
0.000 |
12.822 |
| Phonon mode at Γ point (THz) |
| 0.001 |
| 0.001 |
| 0.001 |
| 2.086 |
| 2.086 |
| 3.167 |
| 4.033 |
| 4.033 |
| 5.701 |
| Property |
Value |
| from where |
c2db-1083 |