I2Y1
MatHub2d-743-I2Y1
| Property |
Value |
| Space group |
(164, 'P-3m1') |
| Crystal system |
hexagonal |
| Magnetic |
|
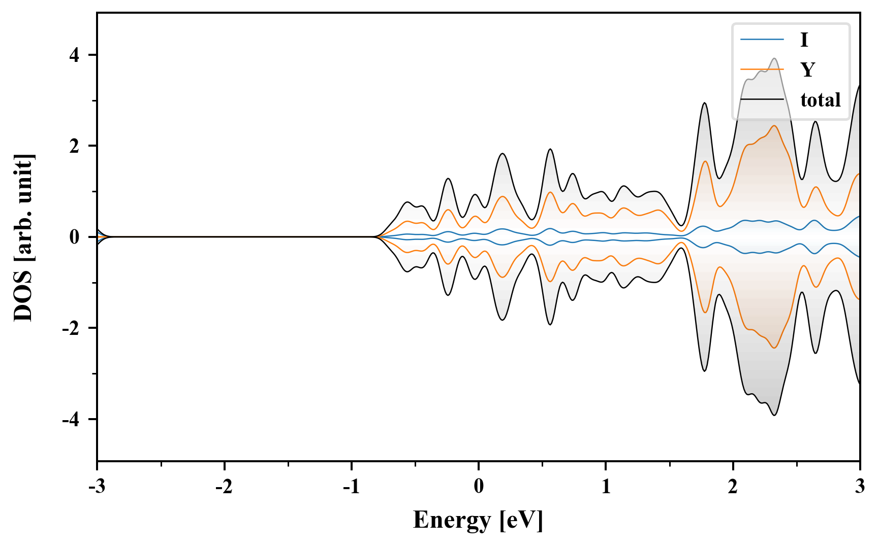
| Band gap (PBE) (eV) |
0.00 |
| Free energy (eV) |
-13.220 |
| Free energy / atom (eV) |
-4.407 |
Lattice Parameters (basic)
| a, b, c (Å): | 4.151 | 4.151 | 30.000 |
| α, β, γ (°): | 90.000 | 90.000 | 120.000 |
Lattice Parameters (computed)
| a, b, c (Å): | 4.148 | 4.148 | 30.000 |
| α, β, γ (°): | 90.000 | 90.000 | 120.000 |
| Property |
Value |
| Band gap |
0.00 eV |
| E-fermi |
-0.953 eV |
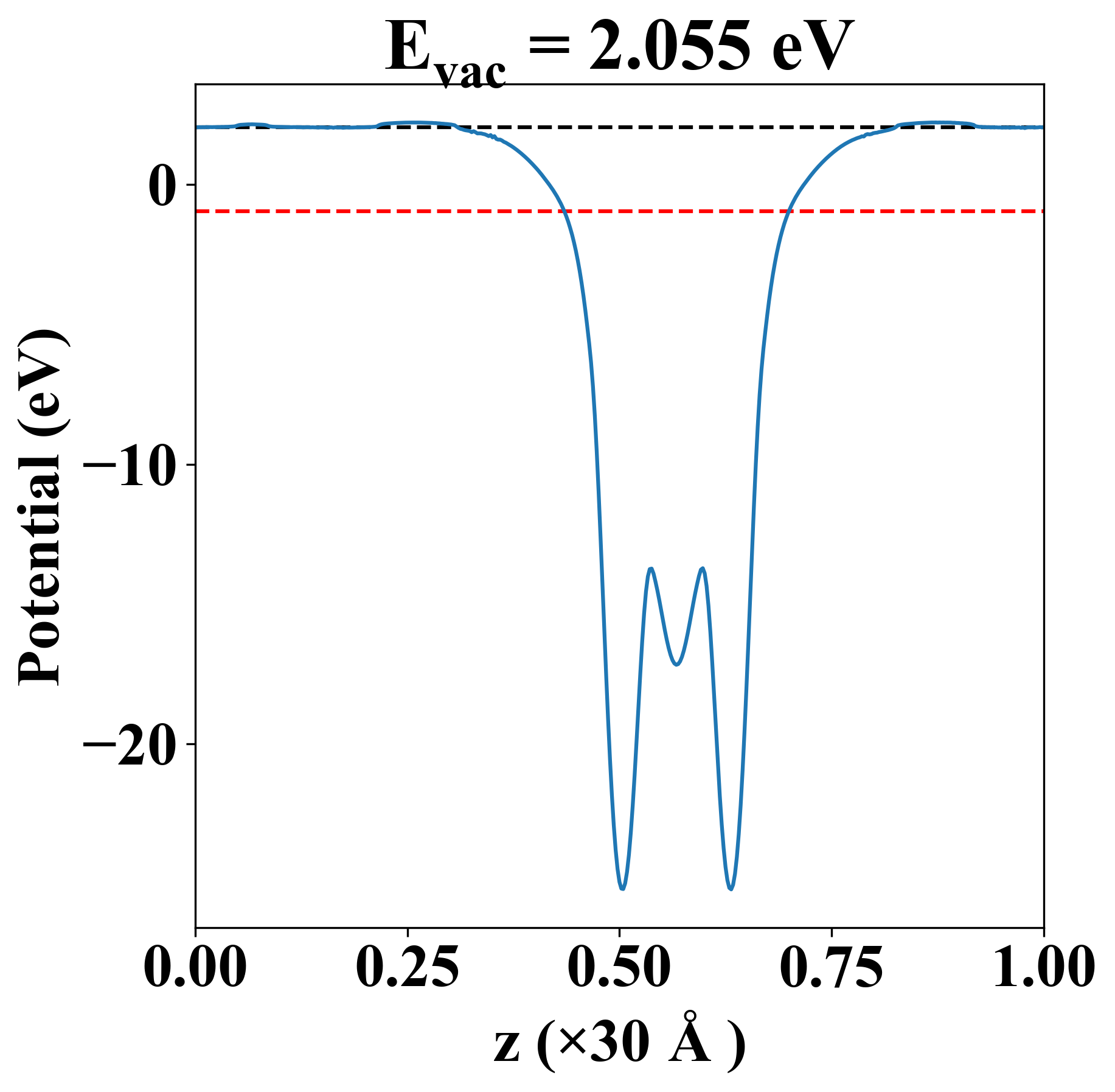
| Vacuum level |
2.055 eV |
| VBM |
-0.953 eV |
| CBM |
-0.953 eV |
| Work function |
3.008 eV |
| Direct gap |
No |
| Property |
Value |
| Band gap |
0.00 eV |
| E-fermi |
-0.953 eV |
| Vacuum level |
2.055 eV |
| VBM |
-0.953 eV |
| CBM |
-0.953 eV |
| Work function |
3.008 eV |
| Cij (N/m) |
xx |
yy |
xy |
| xx |
27.508 |
8.152 |
-0.000 |
| yy |
8.152 |
27.508 |
-0.000 |
| xy |
-0.000 |
-0.000 |
9.678 |
| Phonon mode at Γ point (THz) |
| -0.001 |
| 0.001 |
| 0.001 |
| 2.346 |
| 2.346 |
| 3.082 |
| 4.430 |
| 4.430 |
| 5.753 |
| Property |
Value |
| from where |
c2db-958 |