I2W1
MatHub2d-742-I2W1
| Property |
Value |
| Space group |
(187, 'P-6m2') |
| Crystal system |
hexagonal |
| Magnetic |
Yes |
| Band gap (PBE) (eV) |
0.03 |
| Free energy (eV) |
-11.647 |
| Free energy / atom (eV) |
-3.882 |
Lattice Parameters (basic)
| a, b, c (Å): | 3.459 | 3.459 | 30.000 |
| α, β, γ (°): | 90.000 | 90.000 | 120.000 |
Lattice Parameters (computed)
| a, b, c (Å): | 3.864 | 3.864 | 30.000 |
| α, β, γ (°): | 90.000 | 90.000 | 120.000 |
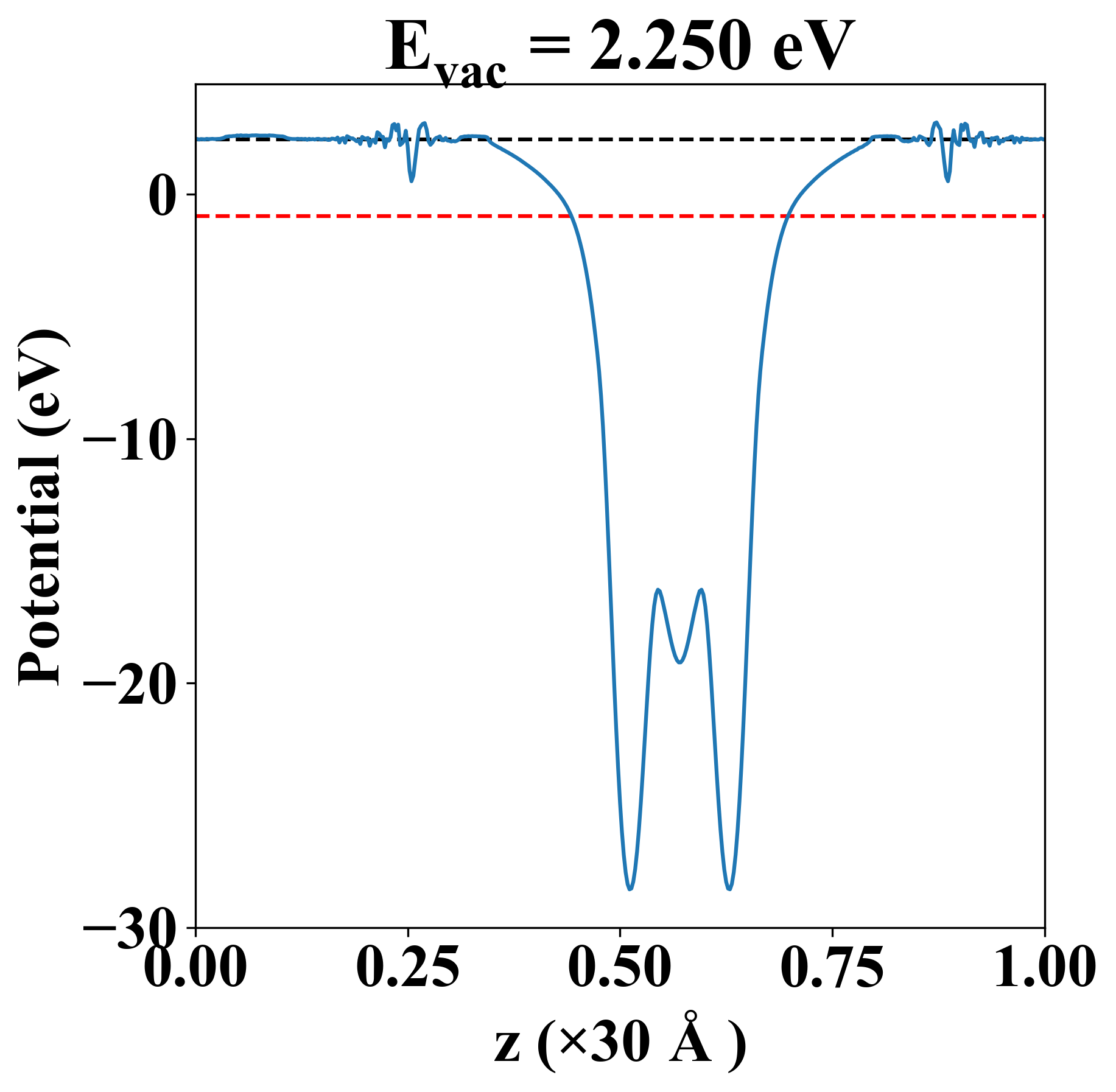
| Property |
Value |
| Band gap |
0.03 eV |
| E-fermi |
-0.880 eV |
| Vacuum level |
2.250 eV |
| VBM |
-0.884 eV |
| CBM |
-0.851 eV |
| Work function |
3.130 eV |
| Direct gap |
No |
| Property |
Value |
| Band gap |
0.03 eV |
| E-fermi |
-0.880 eV |
| Vacuum level |
2.250 eV |
| VBM |
-0.884 eV |
| CBM |
-0.851 eV |
| Work function |
3.130 eV |
| Cij (N/m) |
xx |
yy |
xy |
| xx |
-24.366 |
-6.936 |
0.000 |
| yy |
-6.936 |
-24.366 |
0.000 |
| xy |
0.000 |
0.000 |
-8.715 |
| Phonon mode at Γ point (THz) |
| -5.163 |
| -2.485 |
| -2.485 |
| -0.192 |
| -0.192 |
| 0.004 |
| 0.009 |
| 0.009 |
| 2.998 |
| Property |
Value |
| from where |
c2db-1080 |