I2V1
MatHub2d-740-I2V1
| Property |
Value |
| Space group |
(187, 'P-6m2') |
| Crystal system |
hexagonal |
| Magnetic |
Yes |
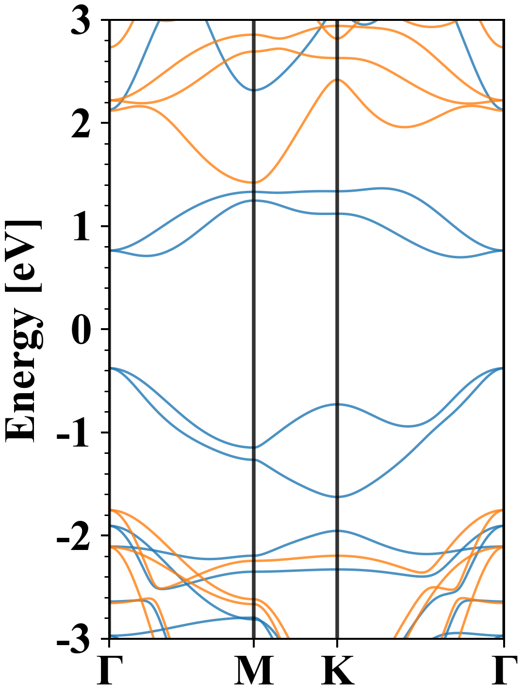
| Band gap (PBE) (eV) |
1.07 |
| Free energy (eV) |
-11.465 |
| Free energy / atom (eV) |
-3.822 |
Lattice Parameters (basic)
| a, b, c (Å): | 3.957 | 3.957 | 30.000 |
| α, β, γ (°): | 90.000 | 90.000 | 120.000 |
Lattice Parameters (computed)
| a, b, c (Å): | 4.017 | 4.017 | 30.000 |
| α, β, γ (°): | 90.000 | 90.000 | 120.000 |
| Property |
Value |
| Band gap |
1.07 eV |
| E-fermi |
-2.223 eV |
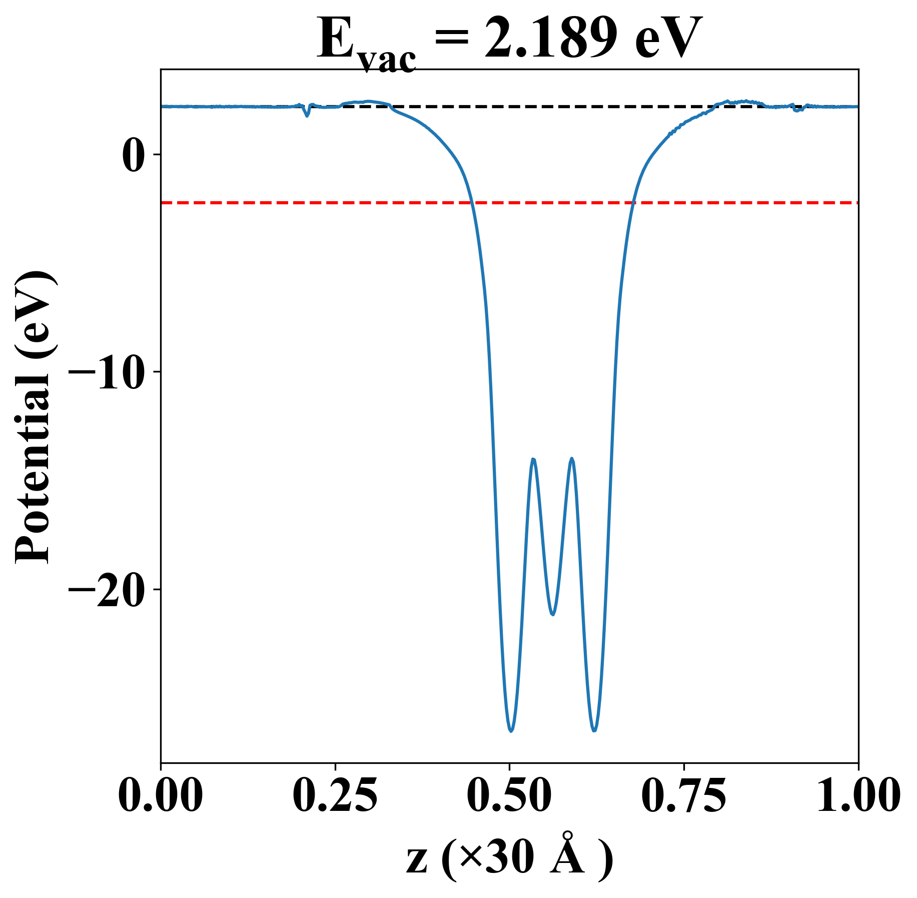
| Vacuum level |
2.189 eV |
| VBM |
-2.601 eV |
| CBM |
-1.526 eV |
| Work function |
4.411 eV |
| Direct gap |
No |
| Property |
Value |
| Band gap |
0.93 eV |
| E-fermi |
-2.124 eV |
| VBM |
-2.462 eV |
| CBM |
-1.537 eV |
| Free energy (eV) |
-11.730 |
| Free energy / atom (eV) |
-3.910 |
| Property |
Value |
| Band gap |
1.07 eV |
| E-fermi |
-2.223 eV |
| Vacuum level |
2.189 eV |
| VBM |
-2.601 eV |
| CBM |
-1.526 eV |
| Work function |
4.411 eV |
| Cij (N/m) |
xx |
yy |
xy |
| xx |
28.975 |
11.442 |
0.000 |
| yy |
11.442 |
28.975 |
0.000 |
| xy |
0.000 |
0.000 |
8.767 |
| Phonon mode at Γ point (THz) |
| -0.016 |
| -0.016 |
| -0.007 |
| 1.046 |
| 1.046 |
| 2.842 |
| 2.883 |
| 2.883 |
| 3.032 |
| Property |
Value |
| from where |
c2db-1077 |