I2V1
MatHub2d-739-I2V1
| Property |
Value |
| Space group |
(164, 'P-3m1') |
| Crystal system |
hexagonal |
| Magnetic |
Yes |
| Band gap (PBE) (eV) |
2.57 |
| Free energy (eV) |
-12.252 |
| Free energy / atom (eV) |
-4.084 |
Lattice Parameters (basic)
| a, b, c (Å): | 4.126 | 4.126 | 30.000 |
| α, β, γ (°): | 90.000 | 90.000 | 120.000 |
Lattice Parameters (computed)
| a, b, c (Å): | 4.163 | 4.163 | 30.000 |
| α, β, γ (°): | 90.000 | 90.000 | 120.000 |
| Property |
Value |
| Band gap |
2.57 eV |
| E-fermi |
-3.308 eV |
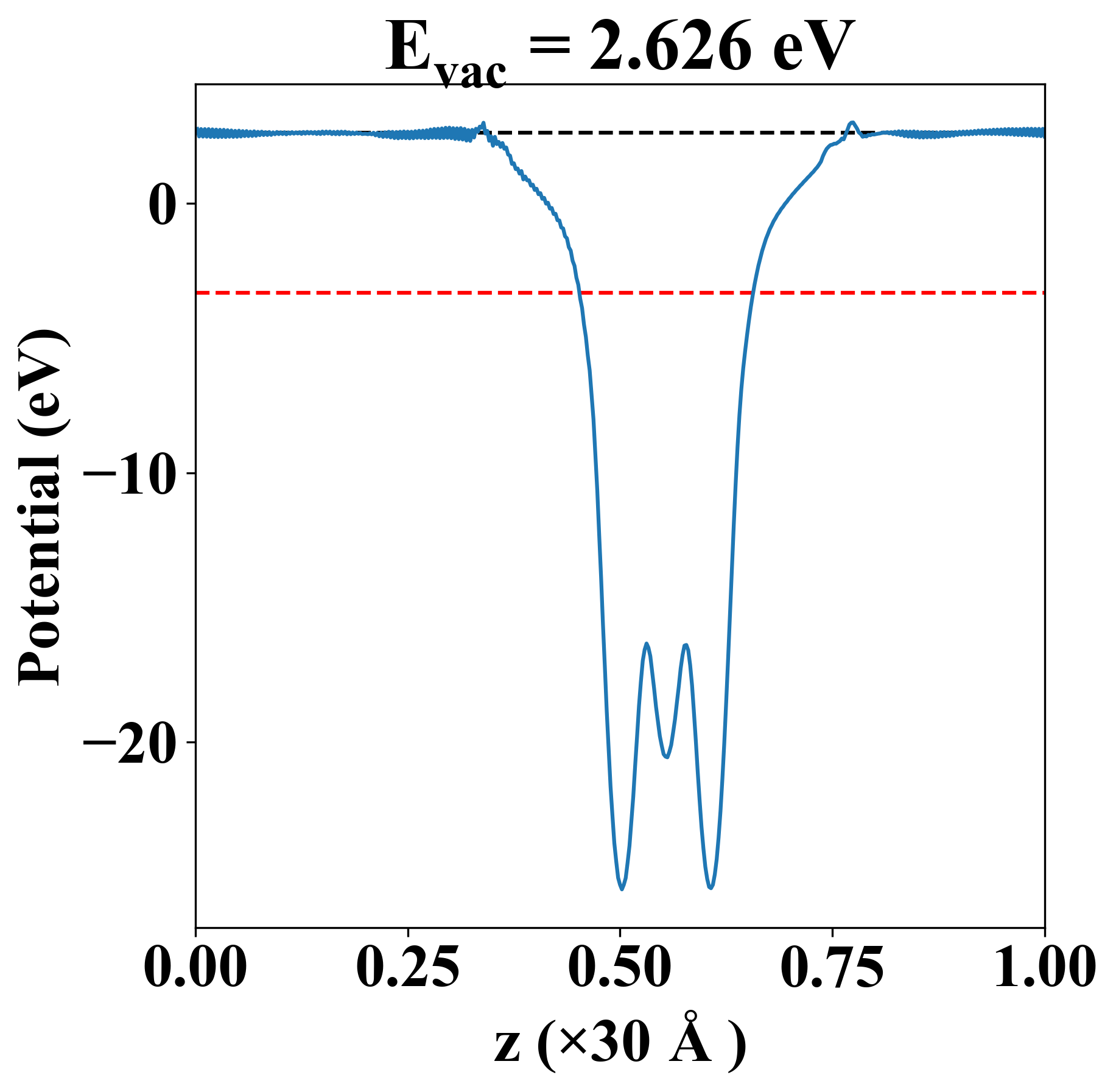
| Vacuum level |
2.626 eV |
| VBM |
-3.594 eV |
| CBM |
-1.021 eV |
| Work function |
5.934 eV |
| Direct gap |
No |
| Property |
Value |
| Band gap |
2.52 eV |
| E-fermi |
-3.175 eV |
| VBM |
-3.557 eV |
| CBM |
-1.038 eV |
| Free energy (eV) |
-12.509 |
| Free energy / atom (eV) |
-4.170 |
| Property |
Value |
| Band gap |
2.57 eV |
| E-fermi |
-3.308 eV |
| Vacuum level |
2.626 eV |
| VBM |
-3.594 eV |
| CBM |
-1.021 eV |
| Work function |
5.934 eV |
| Cij (N/m) |
xx |
yy |
xy |
| xx |
21.491 |
5.977 |
-0.000 |
| yy |
5.977 |
21.491 |
-0.000 |
| xy |
-0.000 |
-0.000 |
7.757 |
| Phonon mode at Γ point (THz) |
| -0.009 |
| -0.009 |
| -0.007 |
| 2.065 |
| 2.065 |
| 2.969 |
| 4.606 |
| 4.606 |
| 5.218 |
| Property |
Value |
| from where |
c2db-952 |