I2Tm1
MatHub2d-738-I2Tm1
| Property |
Value |
| Space group |
(164, 'P-3m1') |
| Crystal system |
hexagonal |
| Magnetic |
|
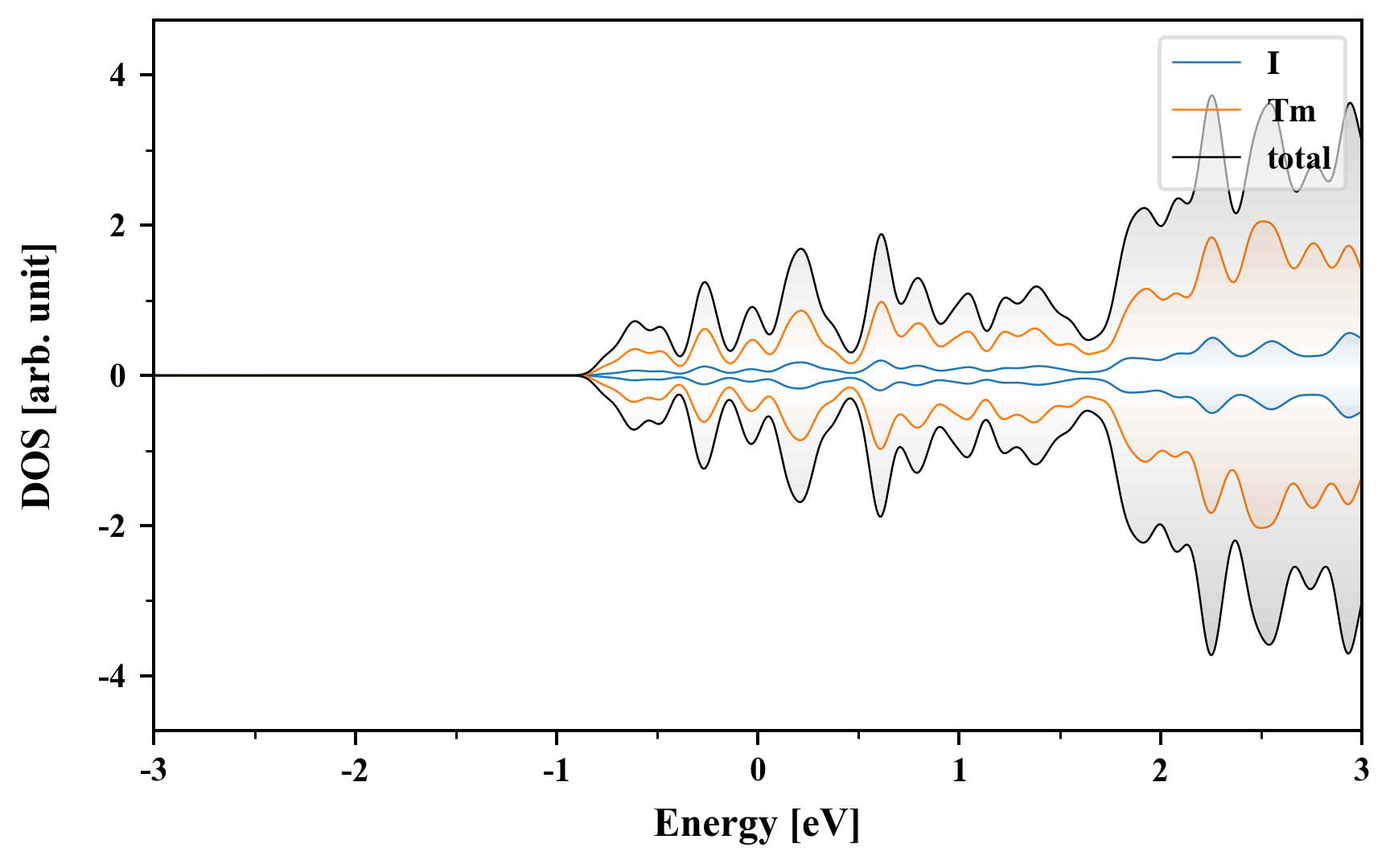
| Band gap (PBE) (eV) |
0.00 |
| Free energy (eV) |
-10.941 |
| Free energy / atom (eV) |
-3.647 |
Lattice Parameters (basic)
| a, b, c (Å): | 4.055 | 4.055 | 30.000 |
| α, β, γ (°): | 90.000 | 90.000 | 120.000 |
Lattice Parameters (computed)
| a, b, c (Å): | 4.092 | 4.092 | 30.000 |
| α, β, γ (°): | 90.000 | 90.000 | 120.000 |
| Property |
Value |
| Band gap |
0.00 eV |
| E-fermi |
-0.740 eV |
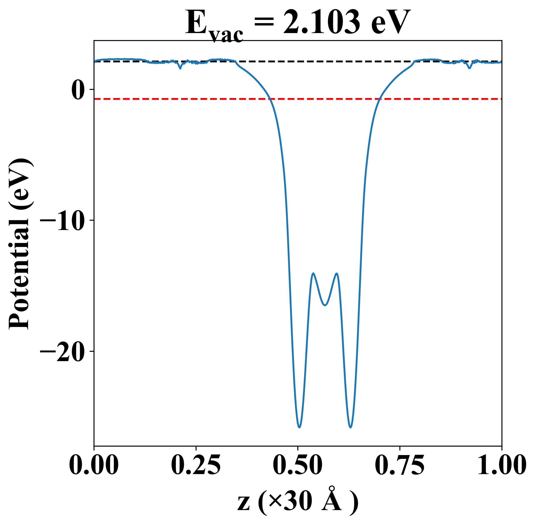
| Vacuum level |
2.103 eV |
| VBM |
-0.740 eV |
| CBM |
-0.740 eV |
| Work function |
2.843 eV |
| Direct gap |
No |
| Property |
Value |
| Band gap |
0.00 eV |
| E-fermi |
-0.740 eV |
| Vacuum level |
2.103 eV |
| VBM |
-0.740 eV |
| CBM |
-0.740 eV |
| Work function |
2.843 eV |
| Cij (N/m) |
xx |
yy |
xy |
| xx |
28.833 |
8.334 |
-0.000 |
| yy |
8.334 |
28.833 |
0.000 |
| xy |
-0.000 |
0.000 |
10.249 |
| Phonon mode at Γ point (THz) |
| -0.002 |
| -0.002 |
| 0.000 |
| 2.437 |
| 2.437 |
| 3.141 |
| 3.704 |
| 3.704 |
| 4.742 |
| Property |
Value |
| from where |
JVASP-6805 |