I2Tl1
MatHub2d-736-I2Tl1
| Property |
Value |
| Space group |
(164, 'P-3m1') |
| Crystal system |
hexagonal |
| Magnetic |
|
| Band gap (PBE) (eV) |
0.00 |
| Free energy (eV) |
-6.215 |
| Free energy / atom (eV) |
-2.072 |
Lattice Parameters (basic)
| a, b, c (Å): | 4.483 | 4.483 | 30.000 |
| α, β, γ (°): | 90.000 | 90.000 | 120.000 |
Lattice Parameters (computed)
| a, b, c (Å): | 4.499 | 4.499 | 30.000 |
| α, β, γ (°): | 90.000 | 90.000 | 120.000 |
| Property |
Value |
| Band gap |
0.00 eV |
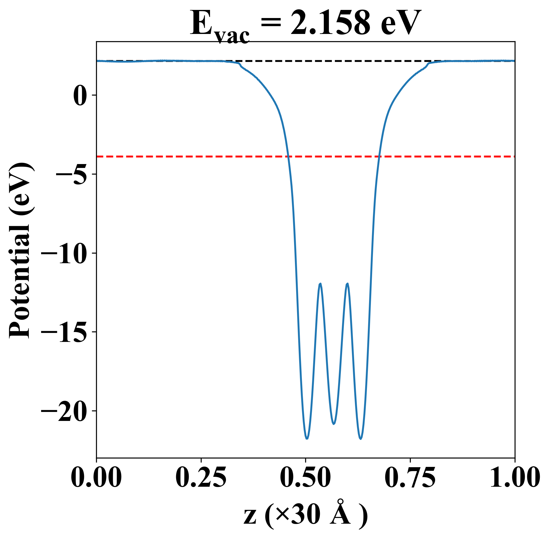
| E-fermi |
-3.896 eV |
| Vacuum level |
2.158 eV |
| VBM |
-3.896 eV |
| CBM |
-3.895 eV |
| Work function |
6.054 eV |
| Direct gap |
No |
| Property |
Value |
| Band gap |
0.00 eV |
| E-fermi |
-3.896 eV |
| Vacuum level |
2.158 eV |
| VBM |
-3.896 eV |
| CBM |
-3.895 eV |
| Work function |
6.054 eV |
| Cij (N/m) |
xx |
yy |
xy |
| xx |
8.682 |
5.406 |
0.000 |
| yy |
5.406 |
8.682 |
0.000 |
| xy |
0.000 |
0.000 |
1.638 |
| Phonon mode at Γ point (THz) |
| -0.007 |
| -0.007 |
| -0.002 |
| 1.395 |
| 1.395 |
| 1.613 |
| 1.613 |
| 2.249 |
| 3.213 |
| Property |
Value |
| from where |
c2db-949 |