I2Ti1
MatHub2d-735-I2Ti1
| Property |
Value |
| Space group |
(187, 'P-6m2') |
| Crystal system |
hexagonal |
| Magnetic |
No |
| Band gap (PBE) (eV) |
0.02 |
| Free energy (eV) |
-9.666 |
| Free energy / atom (eV) |
-3.222 |
Lattice Parameters (basic)
| a, b, c (Å): | 3.769 | 3.769 | 30.000 |
| α, β, γ (°): | 90.000 | 90.000 | 120.000 |
Lattice Parameters (computed)
| a, b, c (Å): | 3.850 | 3.850 | 30.000 |
| α, β, γ (°): | 90.000 | 90.000 | 120.000 |
| Property |
Value |
| Band gap |
0.02 eV |
| E-fermi |
-1.190 eV |
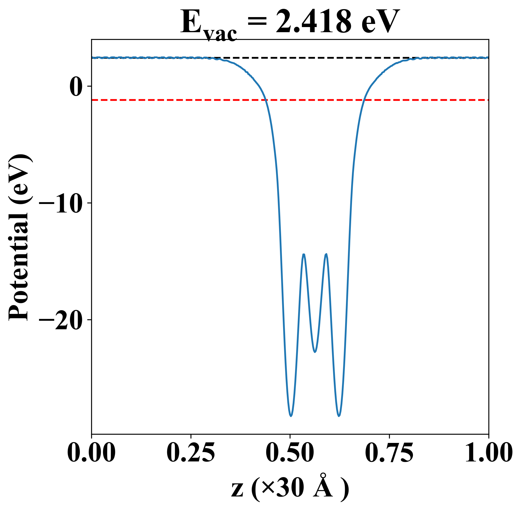
| Vacuum level |
2.418 eV |
| VBM |
-1.199 eV |
| CBM |
-1.182 eV |
| Work function |
3.608 eV |
| Direct gap |
Yes |
| Property |
Value |
| Band gap |
0.02 eV |
| E-fermi |
-1.190 eV |
| Vacuum level |
2.418 eV |
| VBM |
-1.199 eV |
| CBM |
-1.182 eV |
| Work function |
3.608 eV |
| Cij (N/m) |
xx |
yy |
xy |
| xx |
51.516 |
9.314 |
0.000 |
| yy |
9.314 |
51.516 |
0.000 |
| xy |
0.000 |
0.000 |
21.101 |
| Phonon mode at Γ point (THz) |
| -0.002 |
| -0.002 |
| -0.002 |
| 2.242 |
| 2.242 |
| 3.617 |
| 5.911 |
| 5.911 |
| 7.308 |
| Property |
Value |
| from where |
c2db-1070 |