I2Ti1
MatHub2d-734-I2Ti1
| Property |
Value |
| Space group |
(164, 'P-3m1') |
| Crystal system |
hexagonal |
| Magnetic |
Yes |
| Band gap (PBE) (eV) |
2.52 |
| Free energy (eV) |
-11.199 |
| Free energy / atom (eV) |
-3.733 |
Lattice Parameters (basic)
| a, b, c (Å): | 4.083 | 4.083 | 30.000 |
| α, β, γ (°): | 90.000 | 90.000 | 120.000 |
Lattice Parameters (computed)
| a, b, c (Å): | 4.314 | 4.314 | 30.000 |
| α, β, γ (°): | 90.000 | 90.000 | 120.000 |
| Property |
Value |
| Band gap |
2.52 eV |
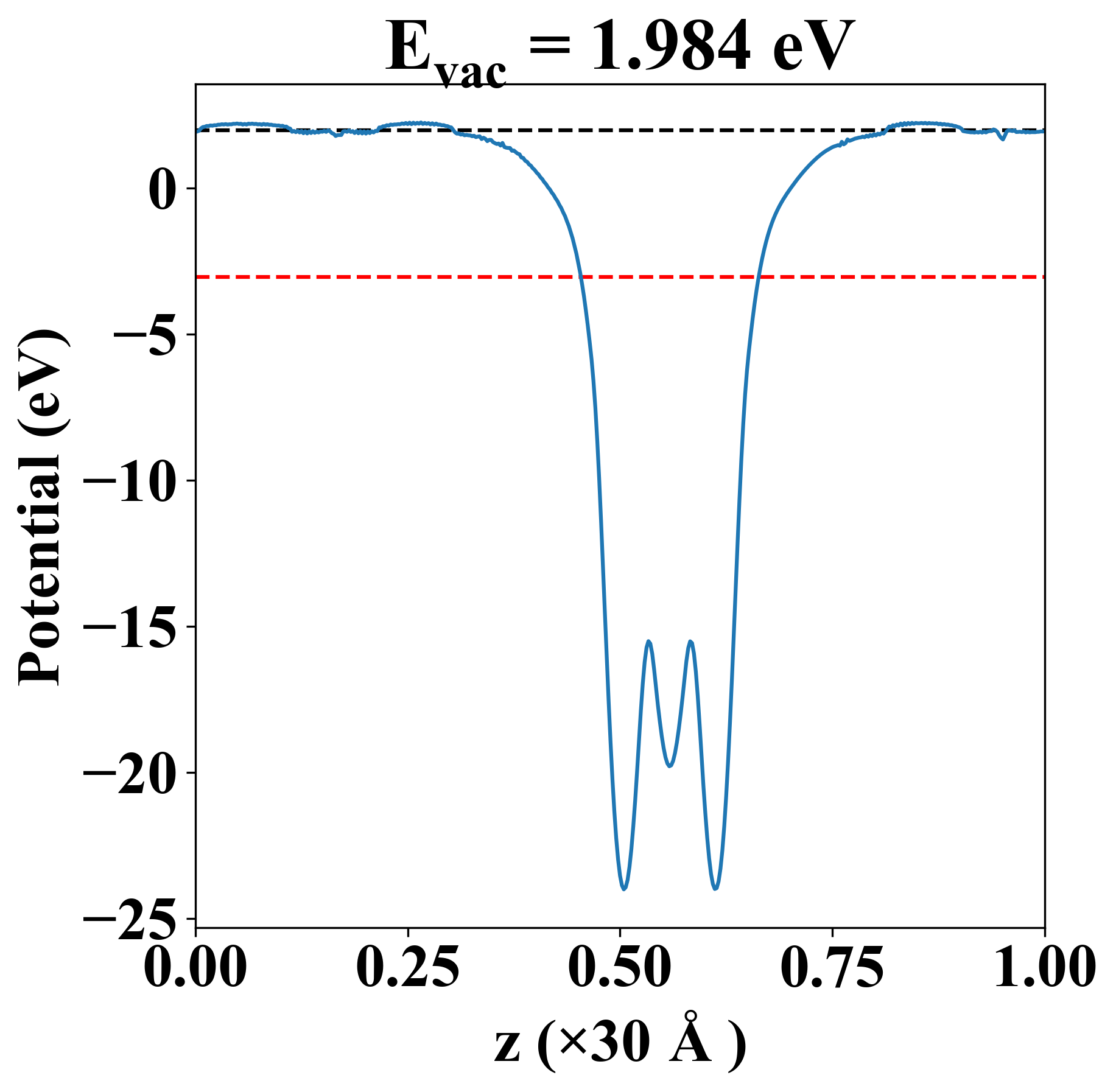
| E-fermi |
-3.043 eV |
| Vacuum level |
1.984 eV |
| VBM |
-3.413 eV |
| CBM |
-0.893 eV |
| Work function |
5.028 eV |
| Direct gap |
No |
| Property |
Value |
| Band gap |
2.51 eV |
| E-fermi |
-2.993 eV |
| VBM |
-3.399 eV |
| CBM |
-0.893 eV |
| Free energy (eV) |
-11.453 |
| Free energy / atom (eV) |
-3.818 |
| Property |
Value |
| Band gap |
2.52 eV |
| E-fermi |
-3.043 eV |
| Vacuum level |
1.984 eV |
| VBM |
-3.413 eV |
| CBM |
-0.893 eV |
| Work function |
5.028 eV |
| Cij (N/m) |
xx |
yy |
xy |
| xx |
17.879 |
3.084 |
-0.000 |
| yy |
3.084 |
17.879 |
-0.000 |
| xy |
-0.000 |
-0.000 |
7.398 |
| Phonon mode at Γ point (THz) |
| -0.008 |
| -0.008 |
| -0.001 |
| 1.954 |
| 1.954 |
| 2.861 |
| 4.187 |
| 4.187 |
| 5.471 |
| Property |
Value |
| from where |
c2db-946 |