I2Ta1
MatHub2d-732-I2Ta1
| Property |
Value |
| Space group |
(187, 'P-6m2') |
| Crystal system |
hexagonal |
| Magnetic |
|
| Band gap (PBE) (eV) |
0.00 |
| Free energy (eV) |
-12.739 |
| Free energy / atom (eV) |
-4.246 |
Lattice Parameters (basic)
| a, b, c (Å): | 3.580 | 3.580 | 30.000 |
| α, β, γ (°): | 90.000 | 90.000 | 120.000 |
Lattice Parameters (computed)
| a, b, c (Å): | 3.586 | 3.586 | 30.000 |
| α, β, γ (°): | 90.000 | 90.000 | 120.000 |
| Property |
Value |
| Band gap |
0.00 eV |
| E-fermi |
-0.067 eV |
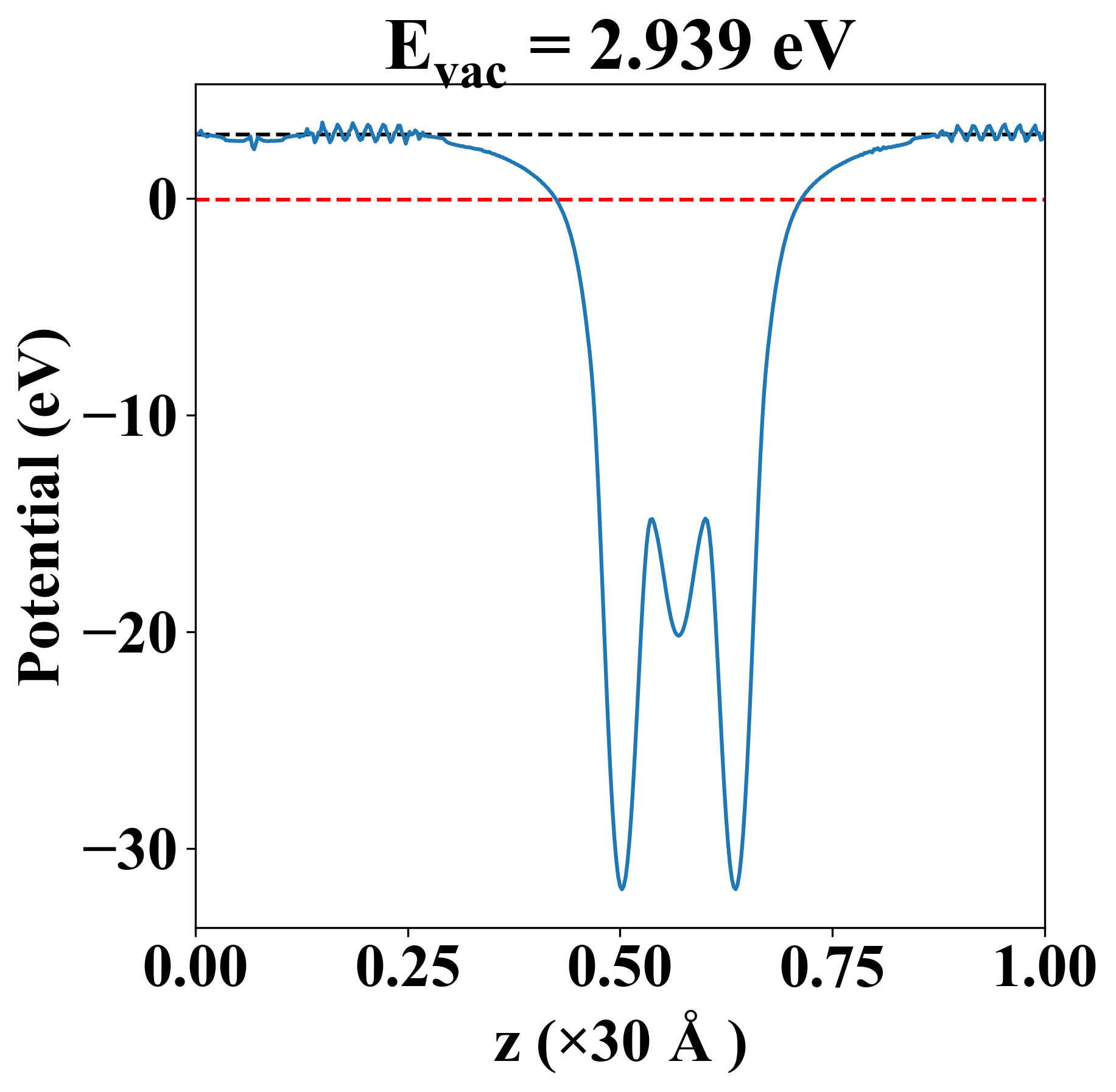
| Vacuum level |
2.939 eV |
| VBM |
-0.072 eV |
| CBM |
-0.066 eV |
| Work function |
3.006 eV |
| Direct gap |
No |
| Property |
Value |
| Band gap |
0.00 eV |
| E-fermi |
-0.067 eV |
| Vacuum level |
2.939 eV |
| VBM |
-0.072 eV |
| CBM |
-0.066 eV |
| Work function |
3.006 eV |
| Cij (N/m) |
xx |
yy |
xy |
| xx |
71.795 |
21.717 |
0.000 |
| yy |
21.717 |
71.795 |
0.000 |
| xy |
0.000 |
0.000 |
25.039 |
| Phonon mode at Γ point (THz) |
| -0.001 |
| -0.001 |
| -0.001 |
| 2.480 |
| 2.480 |
| 3.527 |
| 3.825 |
| 3.994 |
| 3.994 |
| Property |
Value |
| from where |
c2db-1067 |