I2Ta1
MatHub2d-731-I2Ta1
| Property |
Value |
| Space group |
(164, 'P-3m1') |
| Crystal system |
hexagonal |
| Magnetic |
|
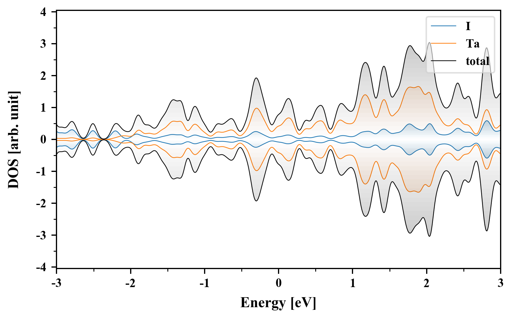
| Band gap (PBE) (eV) |
0.00 |
| Free energy (eV) |
-12.811 |
| Free energy / atom (eV) |
-4.270 |
Lattice Parameters (basic)
| a, b, c (Å): | 3.646 | 3.646 | 30.000 |
| α, β, γ (°): | 90.000 | 90.000 | 120.000 |
Lattice Parameters (computed)
| a, b, c (Å): | 3.624 | 3.624 | 30.000 |
| α, β, γ (°): | 90.000 | 90.000 | 120.000 |
| Property |
Value |
| Band gap |
0.00 eV |
| E-fermi |
-0.776 eV |
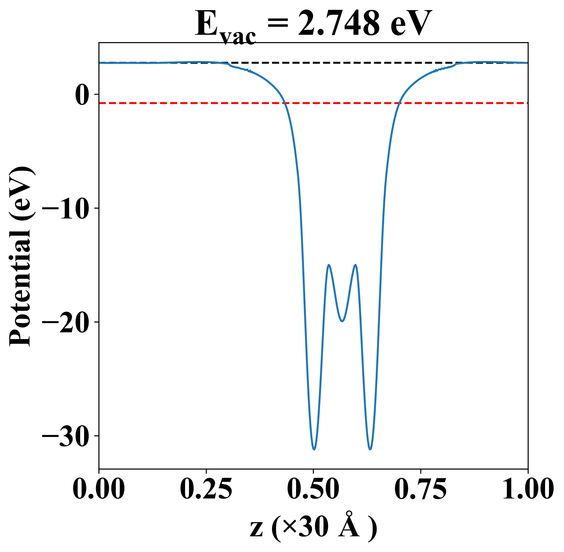
| Vacuum level |
2.748 eV |
| VBM |
-0.781 eV |
| CBM |
-0.773 eV |
| Work function |
3.524 eV |
| Direct gap |
No |
| Property |
Value |
| Band gap |
0.00 eV |
| E-fermi |
-0.776 eV |
| Vacuum level |
2.748 eV |
| VBM |
-0.781 eV |
| CBM |
-0.773 eV |
| Work function |
3.524 eV |
| Cij (N/m) |
xx |
yy |
xy |
| xx |
58.067 |
15.868 |
-0.000 |
| yy |
15.868 |
58.067 |
-0.000 |
| xy |
-0.000 |
-0.000 |
21.099 |
| Phonon mode at Γ point (THz) |
| -0.000 |
| -0.000 |
| 0.000 |
| 2.819 |
| 2.819 |
| 3.692 |
| 4.017 |
| 4.017 |
| 4.646 |
| Property |
Value |
| from where |
c2db-943 |