I2Sr1
MatHub2d-730-I2Sr1
| Property |
Value |
| Space group |
(187, 'P-6m2') |
| Crystal system |
hexagonal |
| Magnetic |
No |
| Band gap (PBE) (eV) |
3.70 |
| Free energy (eV) |
-9.558 |
| Free energy / atom (eV) |
-3.186 |
Lattice Parameters (basic)
| a, b, c (Å): | 4.636 | 4.636 | 30.000 |
| α, β, γ (°): | 90.000 | 90.000 | 120.000 |
Lattice Parameters (computed)
| a, b, c (Å): | 4.635 | 4.635 | 30.000 |
| α, β, γ (°): | 90.000 | 90.000 | 120.000 |
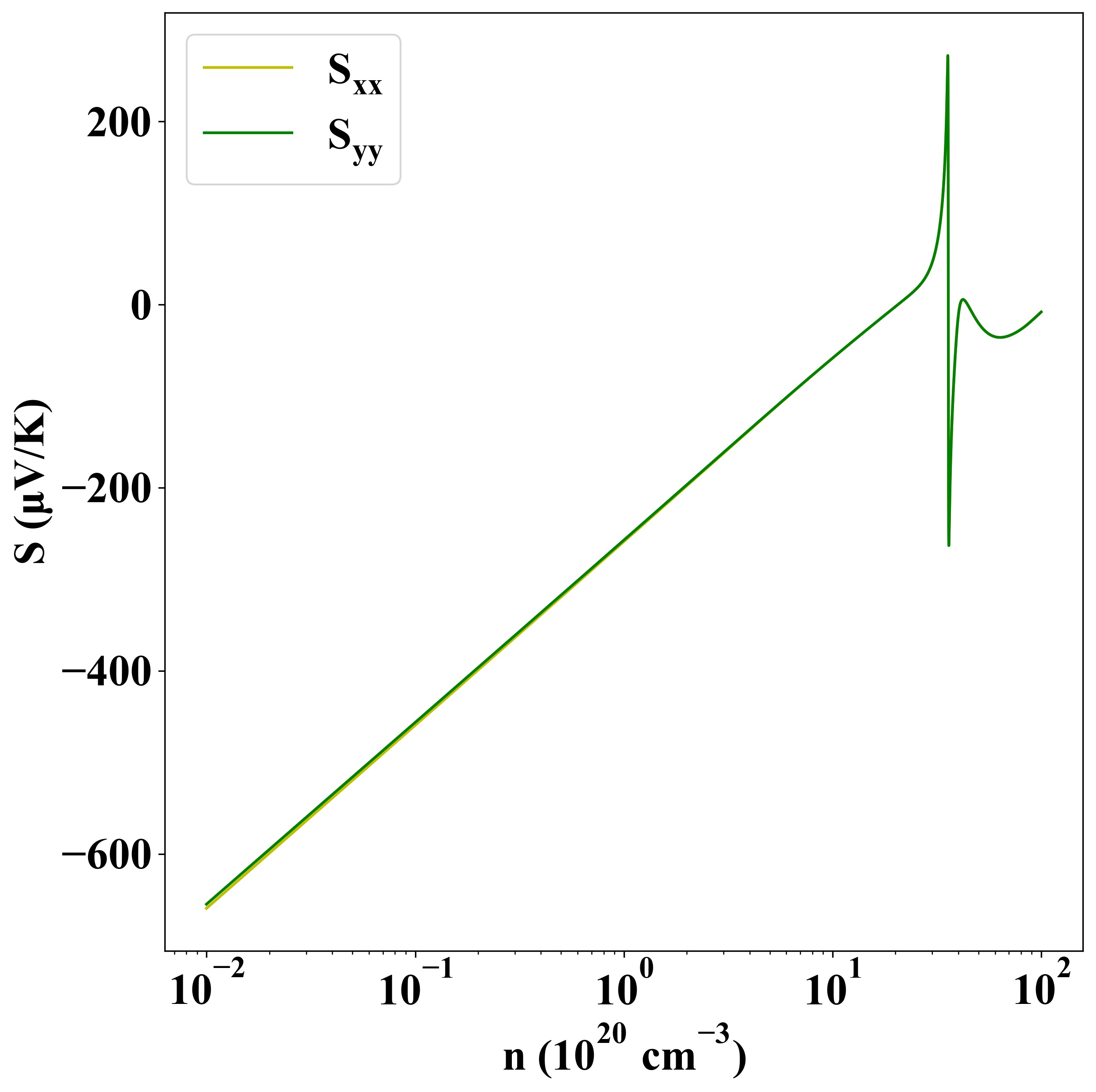
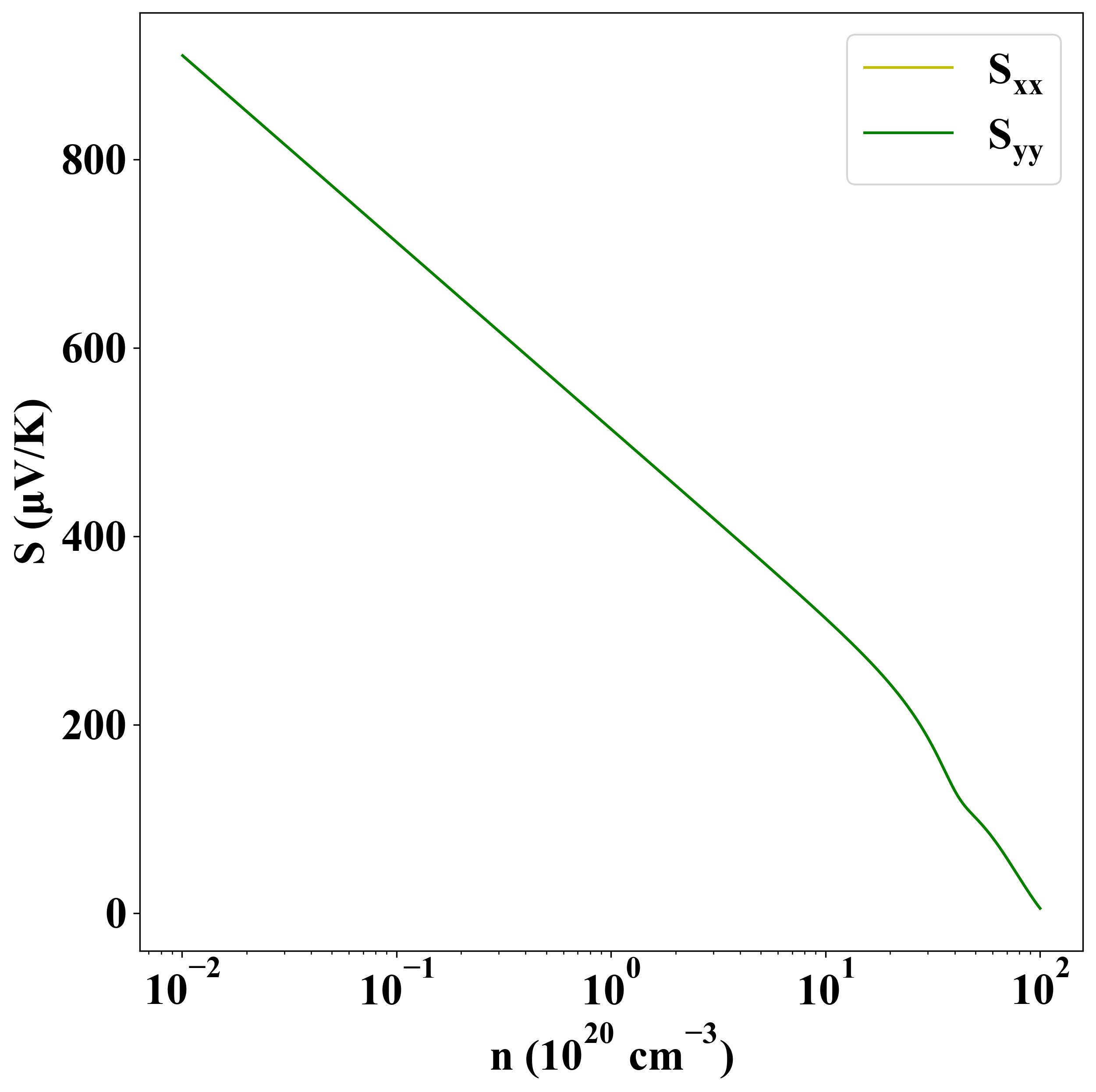
| Property |
Value |
| Band gap |
3.70 eV |
| E-fermi |
-4.786 eV |
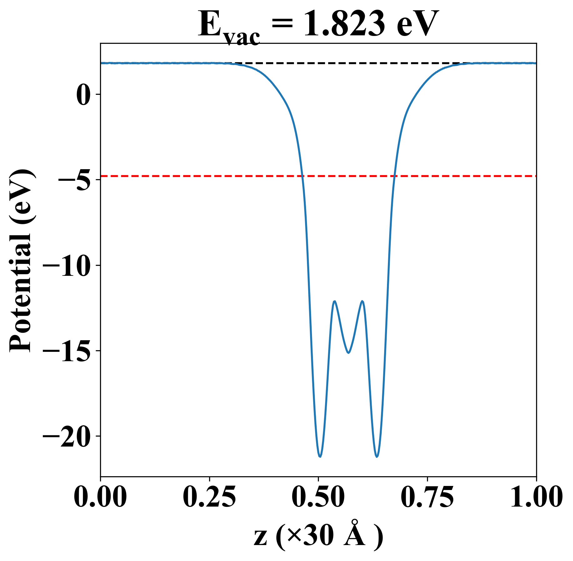
| Vacuum level |
1.823 eV |
| VBM |
-5.089 eV |
| CBM |
-1.392 eV |
| Work function |
6.609 eV |
| Direct gap |
No |
| Property |
Value |
| Band gap |
3.45 eV |
| E-fermi |
-4.494 eV |
| VBM |
-4.835 eV |
| CBM |
-1.386 eV |
| Free energy (eV) |
-9.897 |
| Free energy / atom (eV) |
-3.299 |
| Property |
Value |
| Band gap |
3.70 eV |
| E-fermi |
-4.786 eV |
| Vacuum level |
1.823 eV |
| VBM |
-5.089 eV |
| CBM |
-1.392 eV |
| Work function |
6.609 eV |
| Cij (N/m) |
xx |
yy |
xy |
| xx |
18.224 |
7.643 |
-0.000 |
| yy |
7.643 |
18.224 |
0.000 |
| xy |
-0.000 |
0.000 |
5.290 |
| Phonon mode at Γ point (THz) |
| -0.002 |
| -0.001 |
| -0.001 |
| 1.319 |
| 1.319 |
| 2.864 |
| 3.007 |
| 3.007 |
| 4.638 |
| Property |
Value |
| from where |
c2db-1064 |