I2Sr1
MatHub2d-729-I2Sr1
| Property |
Value |
| Space group |
(164, 'P-3m1') |
| Crystal system |
hexagonal |
| Magnetic |
No |
| Band gap (PBE) (eV) |
4.33 |
| Free energy (eV) |
-9.844 |
| Free energy / atom (eV) |
-3.281 |
Lattice Parameters (basic)
| a, b, c (Å): | 4.839 | 4.839 | 30.000 |
| α, β, γ (°): | 90.000 | 90.000 | 120.000 |
Lattice Parameters (computed)
| a, b, c (Å): | 4.839 | 4.839 | 30.000 |
| α, β, γ (°): | 90.000 | 90.000 | 120.000 |
| Property |
Value |
| Band gap |
4.33 eV |
| E-fermi |
-4.931 eV |
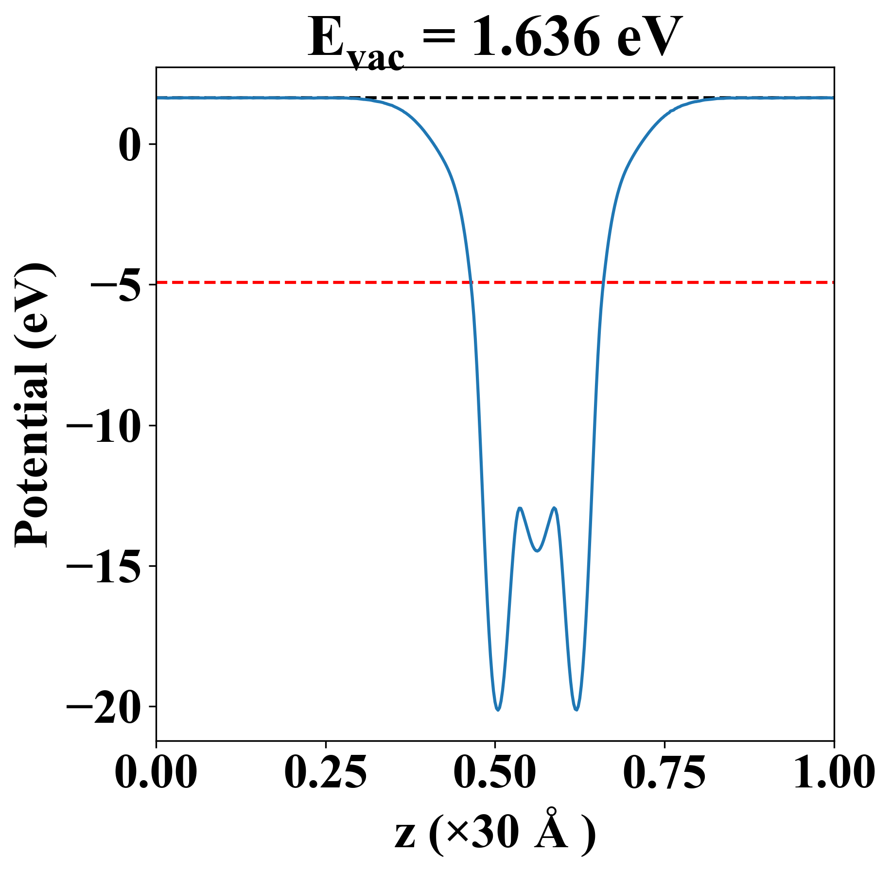
| Vacuum level |
1.636 eV |
| VBM |
-5.236 eV |
| CBM |
-0.909 eV |
| Work function |
6.567 eV |
| Direct gap |
No |
| Property |
Value |
| Band gap |
4.00 eV |
| E-fermi |
-4.672 eV |
| VBM |
-4.919 eV |
| CBM |
-0.917 eV |
| Free energy (eV) |
-10.179 |
| Free energy / atom (eV) |
-3.393 |
| Property |
Value |
| Band gap |
4.33 eV |
| E-fermi |
-4.931 eV |
| Vacuum level |
1.636 eV |
| VBM |
-5.236 eV |
| CBM |
-0.909 eV |
| Work function |
6.567 eV |
| Cij (N/m) |
xx |
yy |
xy |
| xx |
13.751 |
3.145 |
-0.000 |
| yy |
3.145 |
13.751 |
0.000 |
| xy |
-0.000 |
0.000 |
5.303 |
| Phonon mode at Γ point (THz) |
| -0.002 |
| -0.002 |
| -0.001 |
| 1.893 |
| 1.893 |
| 2.303 |
| 3.107 |
| 3.107 |
| 4.285 |
| Property |
Value |
| from where |
c2db-940 |