I2Sn1
MatHub2d-728-I2Sn1
| Property |
Value |
| Space group |
(187, 'P-6m2') |
| Crystal system |
hexagonal |
| Magnetic |
No |
| Band gap (PBE) (eV) |
2.14 |
| Free energy (eV) |
-8.218 |
| Free energy / atom (eV) |
-2.739 |
Lattice Parameters (basic)
| a, b, c (Å): | 4.420 | 4.420 | 30.000 |
| α, β, γ (°): | 90.000 | 90.000 | 120.000 |
Lattice Parameters (computed)
| a, b, c (Å): | 4.397 | 4.397 | 30.000 |
| α, β, γ (°): | 90.000 | 90.000 | 120.000 |
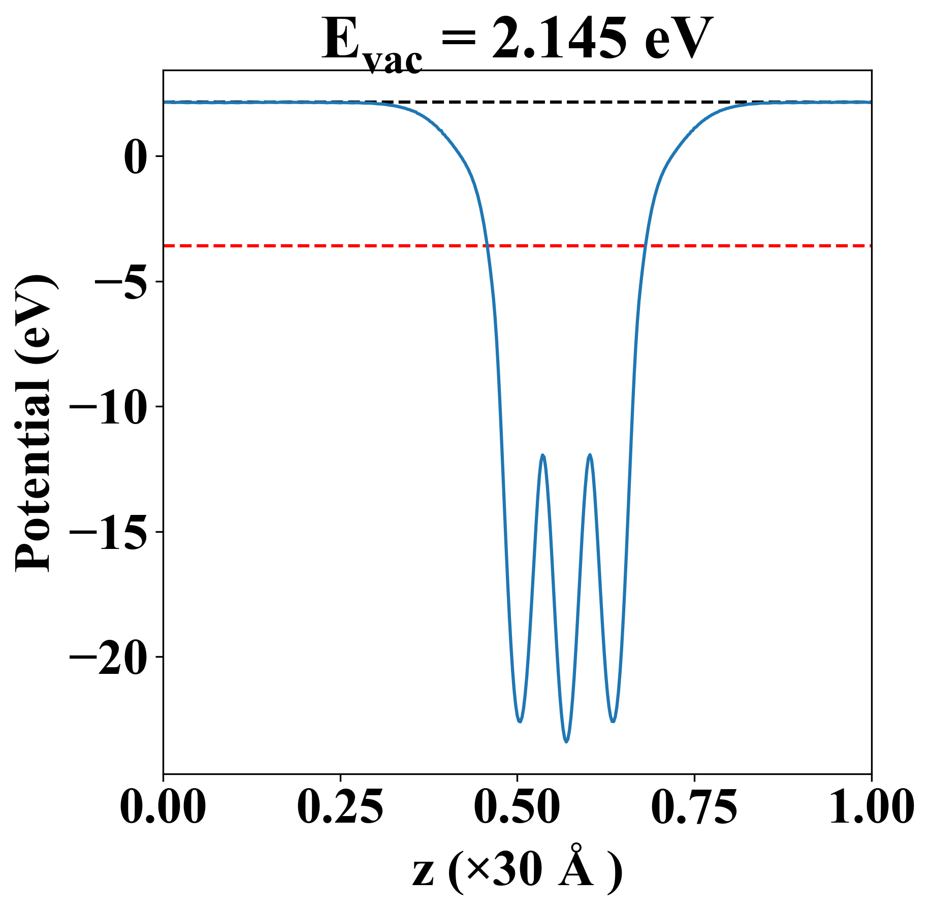
| Property |
Value |
| Band gap |
2.14 eV |
| E-fermi |
-3.579 eV |
| Vacuum level |
2.145 eV |
| VBM |
-3.863 eV |
| CBM |
-1.728 eV |
| Work function |
5.725 eV |
| Direct gap |
No |
| Property |
Value |
| Band gap |
1.95 eV |
| E-fermi |
-3.389 eV |
| VBM |
-3.672 eV |
| CBM |
-1.727 eV |
| Free energy (eV) |
-8.539 |
| Free energy / atom (eV) |
-2.846 |
| Property |
Value |
| Band gap |
2.14 eV |
| E-fermi |
-3.579 eV |
| Vacuum level |
2.145 eV |
| VBM |
-3.863 eV |
| CBM |
-1.728 eV |
| Work function |
5.725 eV |
| Cij (N/m) |
xx |
yy |
xy |
| xx |
15.671 |
10.588 |
-0.000 |
| yy |
10.588 |
15.671 |
-0.000 |
| xy |
-0.000 |
-0.000 |
2.541 |
| Phonon mode at Γ point (THz) |
| -0.009 |
| -0.001 |
| -0.001 |
| 1.532 |
| 1.532 |
| 2.078 |
| 2.078 |
| 2.965 |
| 4.562 |
| Property |
Value |
| from where |
c2db-1061 |