I2Sn1
MatHub2d-727-I2Sn1
| Property |
Value |
| Space group |
(164, 'P-3m1') |
| Crystal system |
hexagonal |
| Magnetic |
No |
| Band gap (PBE) (eV) |
2.05 |
| Free energy (eV) |
-8.484 |
| Free energy / atom (eV) |
-2.828 |
Lattice Parameters (basic)
| a, b, c (Å): | 4.576 | 4.576 | 30.000 |
| α, β, γ (°): | 90.000 | 90.000 | 120.000 |
Lattice Parameters (computed)
| a, b, c (Å): | 4.542 | 4.542 | 30.000 |
| α, β, γ (°): | 90.000 | 90.000 | 120.000 |
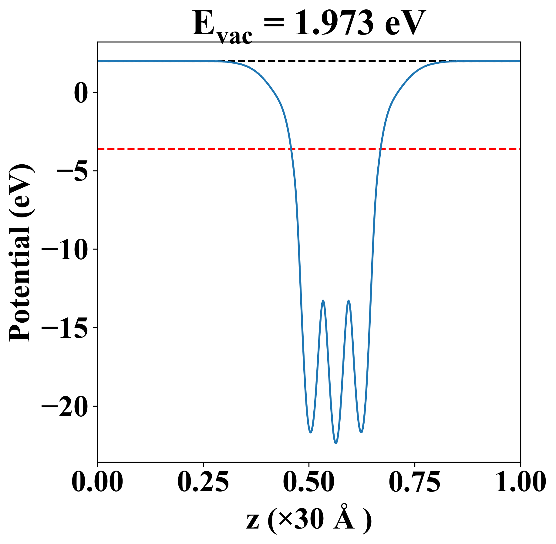
| Property |
Value |
| Band gap |
2.05 eV |
| E-fermi |
-3.615 eV |
| Vacuum level |
1.973 eV |
| VBM |
-3.898 eV |
| CBM |
-1.851 eV |
| Work function |
5.587 eV |
| Direct gap |
No |
| Property |
Value |
| Band gap |
1.90 eV |
| E-fermi |
-3.517 eV |
| VBM |
-3.835 eV |
| CBM |
-1.935 eV |
| Free energy (eV) |
-8.797 |
| Free energy / atom (eV) |
-2.932 |
| Property |
Value |
| Band gap |
2.05 eV |
| E-fermi |
-3.615 eV |
| Vacuum level |
1.973 eV |
| VBM |
-3.898 eV |
| CBM |
-1.851 eV |
| Work function |
5.587 eV |
| Cij (N/m) |
xx |
yy |
xy |
| xx |
15.795 |
4.263 |
-0.000 |
| yy |
4.263 |
15.795 |
0.000 |
| xy |
-0.000 |
0.000 |
5.766 |
| Phonon mode at Γ point (THz) |
| -0.002 |
| -0.002 |
| -0.002 |
| 1.855 |
| 1.855 |
| 2.172 |
| 2.172 |
| 2.584 |
| 4.267 |
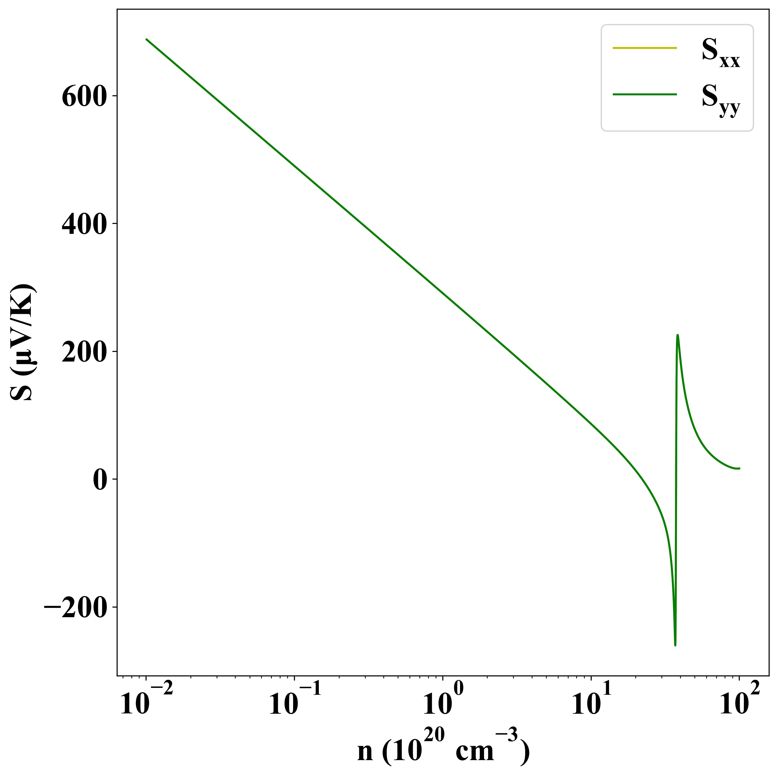
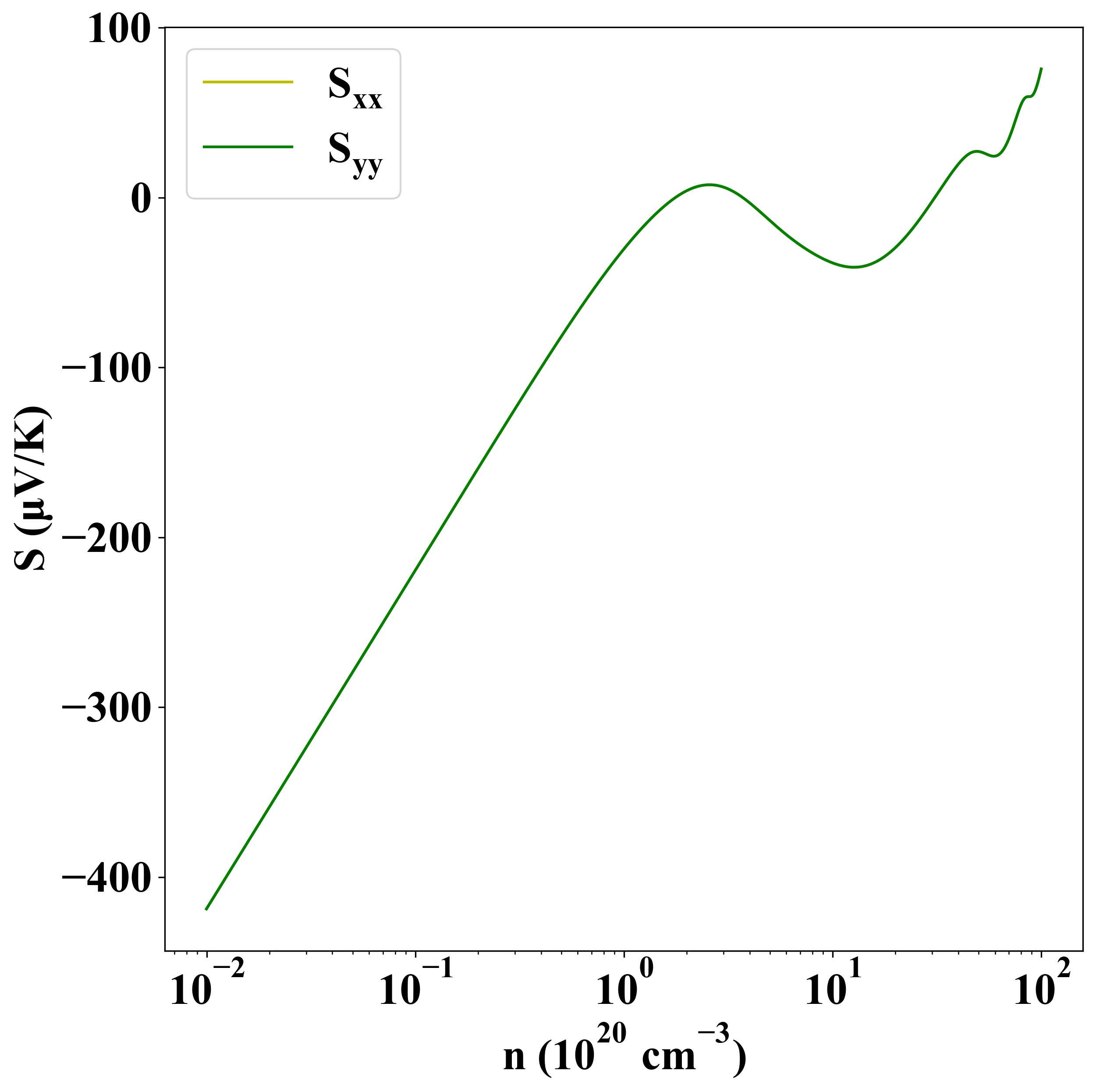
| Carrier type |
C2D (N/m) |
Edef (eV) |
μ (cm2V-1s-1) |
| x |
y |
x |
y |
x |
y |
| hole |
16.68 |
16.49 |
-3.74 |
-2.34 |
-11.14 |
-28.32 |
| electron |
-4.68 |
-4.57 |
78.45 |
81.40 |
| Property |
Value |
| from where |
c2db-937 |