I2Sc1
MatHub2d-726-I2Sc1
| Property |
Value |
| Space group |
(187, 'P-6m2') |
| Crystal system |
hexagonal |
| Magnetic |
Yes |
| Band gap (PBE) (eV) |
0.00 |
| Free energy (eV) |
-11.411 |
| Free energy / atom (eV) |
-3.804 |
Lattice Parameters (basic)
| a, b, c (Å): | 3.979 | 3.979 | 30.000 |
| α, β, γ (°): | 90.000 | 90.000 | 120.000 |
Lattice Parameters (computed)
| a, b, c (Å): | 4.017 | 4.017 | 30.000 |
| α, β, γ (°): | 90.000 | 90.000 | 120.000 |
| Property |
Value |
| Band gap |
0.00 eV |
| E-fermi |
-1.350 eV |
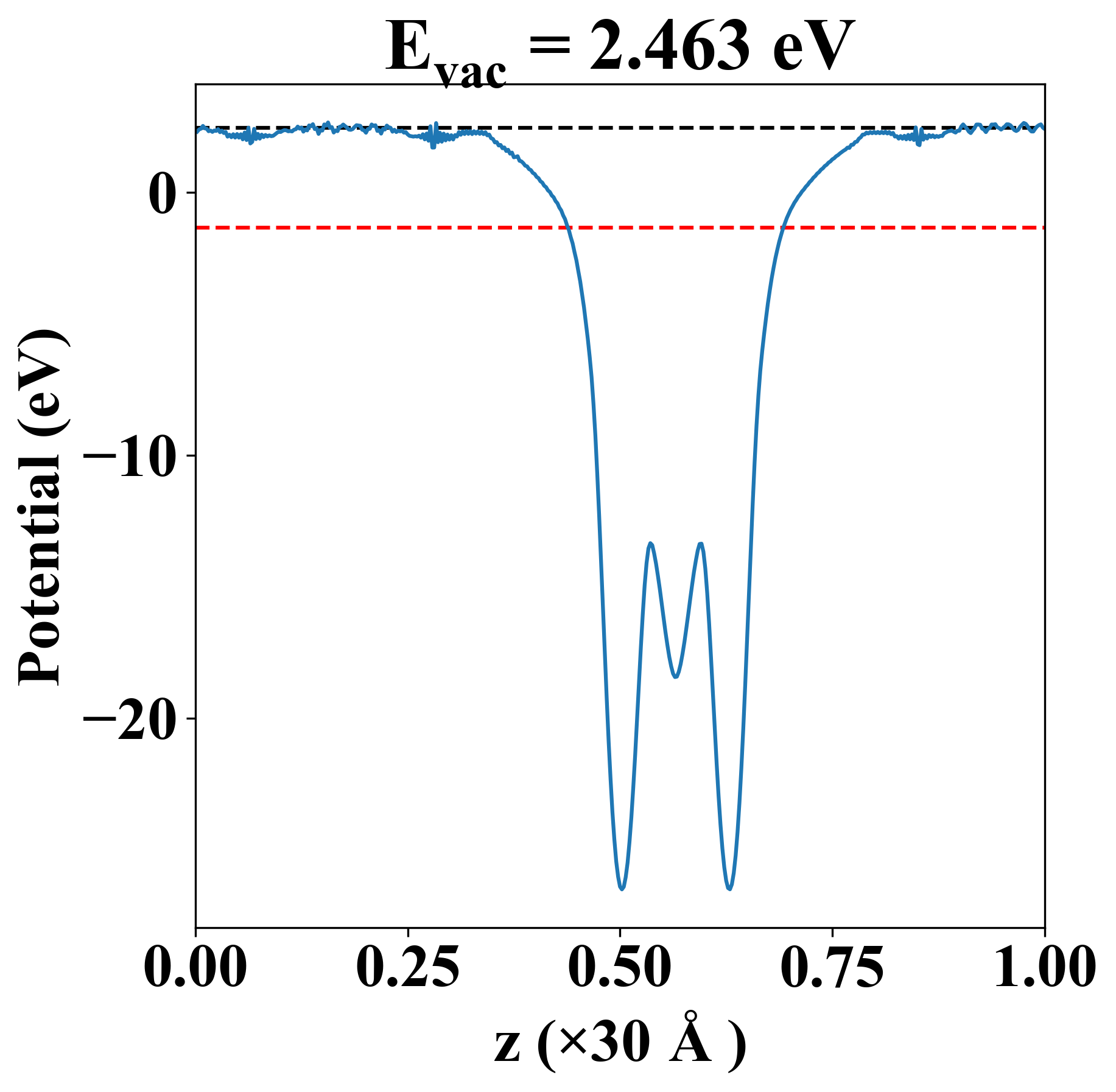
| Vacuum level |
2.463 eV |
| VBM |
-1.497 eV |
| CBM |
-1.200 eV |
| Work function |
3.814 eV |
| Direct gap |
No |
| Property |
Value |
| Band gap |
0.32 eV |
| E-fermi |
-1.362 eV |
| VBM |
-1.522 eV |
| CBM |
-1.200 eV |
| Free energy (eV) |
-11.668 |
| Free energy / atom (eV) |
-3.889 |
| Property |
Value |
| Band gap |
0.00 eV |
| E-fermi |
-1.350 eV |
| Vacuum level |
2.463 eV |
| VBM |
-1.497 eV |
| CBM |
-1.200 eV |
| Work function |
3.814 eV |
| Cij (N/m) |
xx |
yy |
xy |
| xx |
40.111 |
11.299 |
-0.000 |
| yy |
11.299 |
40.111 |
-0.000 |
| xy |
-0.000 |
-0.000 |
14.406 |
| Phonon mode at Γ point (THz) |
| 0.001 |
| 0.001 |
| 0.001 |
| 1.829 |
| 1.829 |
| 3.250 |
| 4.923 |
| 4.923 |
| 6.932 |
| Property |
Value |
| from where |
c2db-1058 |