I2Sc1
MatHub2d-725-I2Sc1
| Property |
Value |
| Space group |
(164, 'P-3m1') |
| Crystal system |
hexagonal |
| Magnetic |
Yes |
| Band gap (PBE) (eV) |
0.01 |
| Free energy (eV) |
-11.370 |
| Free energy / atom (eV) |
-3.790 |
Lattice Parameters (basic)
| a, b, c (Å): | 4.061 | 4.061 | 30.000 |
| α, β, γ (°): | 90.000 | 90.000 | 120.000 |
Lattice Parameters (computed)
| a, b, c (Å): | 4.224 | 4.224 | 30.000 |
| α, β, γ (°): | 90.000 | 90.000 | 120.000 |
| Property |
Value |
| Band gap |
0.01 eV |
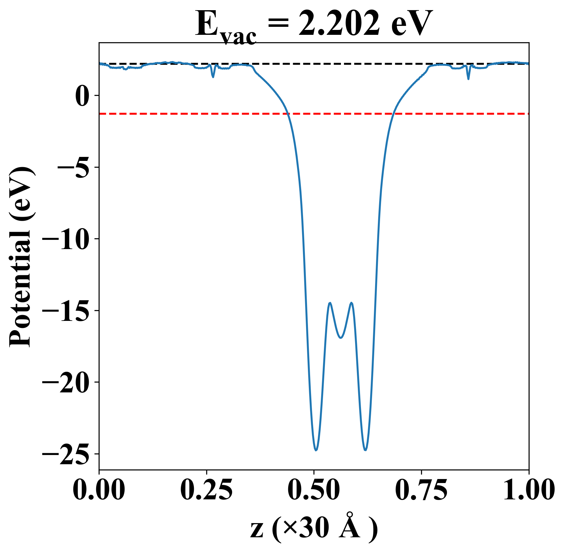
| E-fermi |
-1.282 eV |
| Vacuum level |
2.202 eV |
| VBM |
-1.285 eV |
| CBM |
-1.280 eV |
| Work function |
3.485 eV |
| Direct gap |
No |
| Property |
Value |
| Band gap |
0.01 eV |
| E-fermi |
-1.282 eV |
| Vacuum level |
2.202 eV |
| VBM |
-1.285 eV |
| CBM |
-1.280 eV |
| Work function |
3.485 eV |
| Cij (N/m) |
xx |
yy |
xy |
| xx |
22.974 |
4.882 |
0.000 |
| yy |
4.882 |
22.974 |
-0.000 |
| xy |
0.000 |
-0.000 |
9.046 |
| Phonon mode at Γ point (THz) |
| -0.003 |
| -0.001 |
| -0.001 |
| 2.146 |
| 2.146 |
| 3.001 |
| 5.023 |
| 5.023 |
| 6.611 |
| Property |
Value |
| from where |
c2db-934 |