I2S2Sm2
MatHub2d-724-I2S2Sm2
| Property |
Value |
| Space group |
(164, 'P-3m1') |
| Crystal system |
hexagonal |
| Magnetic |
No |
| Band gap (PBE) (eV) |
2.63 |
| Free energy (eV) |
-31.472 |
| Free energy / atom (eV) |
-5.245 |
Lattice Parameters (basic)
| a, b, c (Å): | 4.559 | 4.559 | 30.000 |
| α, β, γ (°): | 90.000 | 90.000 | 120.000 |
Lattice Parameters (computed)
| a, b, c (Å): | 4.588 | 4.588 | 30.000 |
| α, β, γ (°): | 90.000 | 90.000 | 120.000 |
| Property |
Value |
| Band gap |
2.63 eV |
| E-fermi |
-3.010 eV |
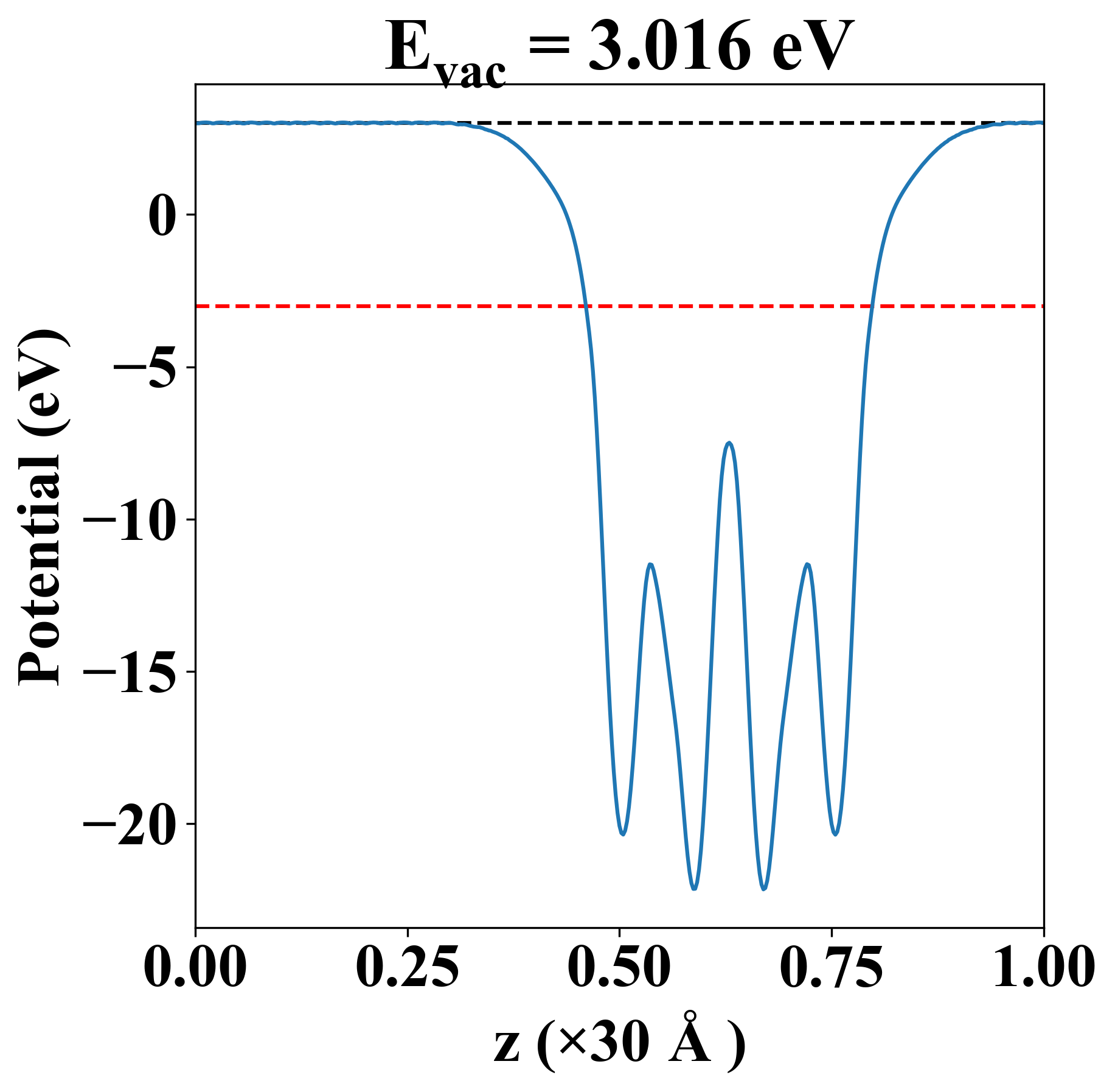
| Vacuum level |
3.016 eV |
| VBM |
-3.298 eV |
| CBM |
-0.672 eV |
| Work function |
6.027 eV |
| Direct gap |
No |
| Property |
Value |
| Band gap |
2.53 eV |
| E-fermi |
-2.849 eV |
| VBM |
-3.195 eV |
| CBM |
-0.667 eV |
| Free energy (eV) |
-32.325 |
| Free energy / atom (eV) |
-5.388 |
| Property |
Value |
| Band gap |
2.63 eV |
| E-fermi |
-3.010 eV |
| Vacuum level |
3.016 eV |
| VBM |
-3.298 eV |
| CBM |
-0.672 eV |
| Work function |
6.027 eV |
| Cij (N/m) |
xx |
yy |
xy |
| xx |
47.762 |
23.351 |
0.000 |
| yy |
23.351 |
47.762 |
0.000 |
| xy |
0.000 |
0.000 |
12.206 |
| Phonon mode at Γ point (THz) |
| -0.004 |
| -0.003 |
| -0.003 |
| 1.279 |
| 1.279 |
| 1.932 |
| 2.124 |
| 2.124 |
| 2.375 |
| 2.375 |
| 3.386 |
| 4.131 |
| 7.202 |
| 7.259 |
| 7.259 |
| 7.978 |
| 7.978 |
| 8.115 |
| Property |
Value |
| from where |
JVASP-28000 |