I2Ru1
MatHub2d-723-I2Ru1
| Property |
Value |
| Space group |
(187, 'P-6m2') |
| Crystal system |
hexagonal |
| Magnetic |
Yes |
| Band gap (PBE) (eV) |
0.00 |
| Free energy (eV) |
-7.400 |
| Free energy / atom (eV) |
-2.467 |
Lattice Parameters (basic)
| a, b, c (Å): | 3.898 | 3.898 | 30.000 |
| α, β, γ (°): | 90.000 | 90.000 | 120.000 |
Lattice Parameters (computed)
| a, b, c (Å): | 4.035 | 4.035 | 30.000 |
| α, β, γ (°): | 90.000 | 90.000 | 120.000 |
| Property |
Value |
| Band gap |
0.00 eV |
| E-fermi |
-2.382 eV |
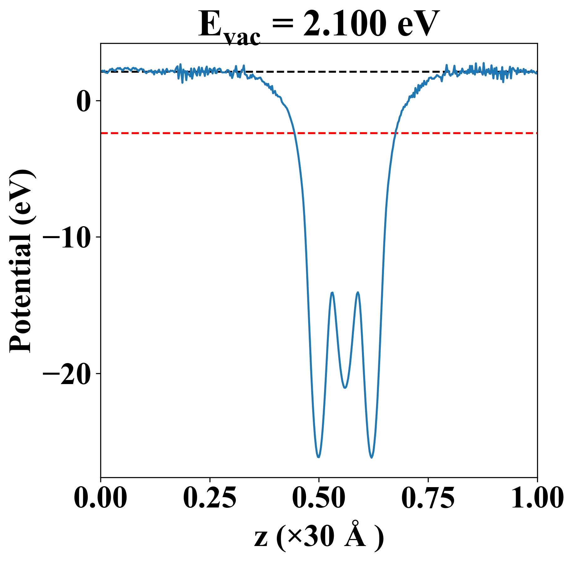
| Vacuum level |
2.100 eV |
| VBM |
-2.384 eV |
| CBM |
-2.381 eV |
| Work function |
4.482 eV |
| Direct gap |
No |
| Property |
Value |
| Band gap |
0.00 eV |
| E-fermi |
-2.382 eV |
| Vacuum level |
2.100 eV |
| VBM |
-2.384 eV |
| CBM |
-2.381 eV |
| Work function |
4.482 eV |
| Cij (N/m) |
xx |
yy |
xy |
| xx |
23.880 |
14.778 |
-0.000 |
| yy |
14.778 |
23.880 |
-0.000 |
| xy |
-0.000 |
-0.000 |
4.551 |
| Phonon mode at Γ point (THz) |
| -4.642 |
| -3.612 |
| -3.612 |
| -1.176 |
| -1.176 |
| 0.001 |
| 0.004 |
| 0.004 |
| 2.545 |
| Property |
Value |
| from where |
c2db-1055 |