I2Ru1
MatHub2d-722-I2Ru1
| Property |
Value |
| Space group |
(164, 'P-3m1') |
| Crystal system |
hexagonal |
| Magnetic |
No |
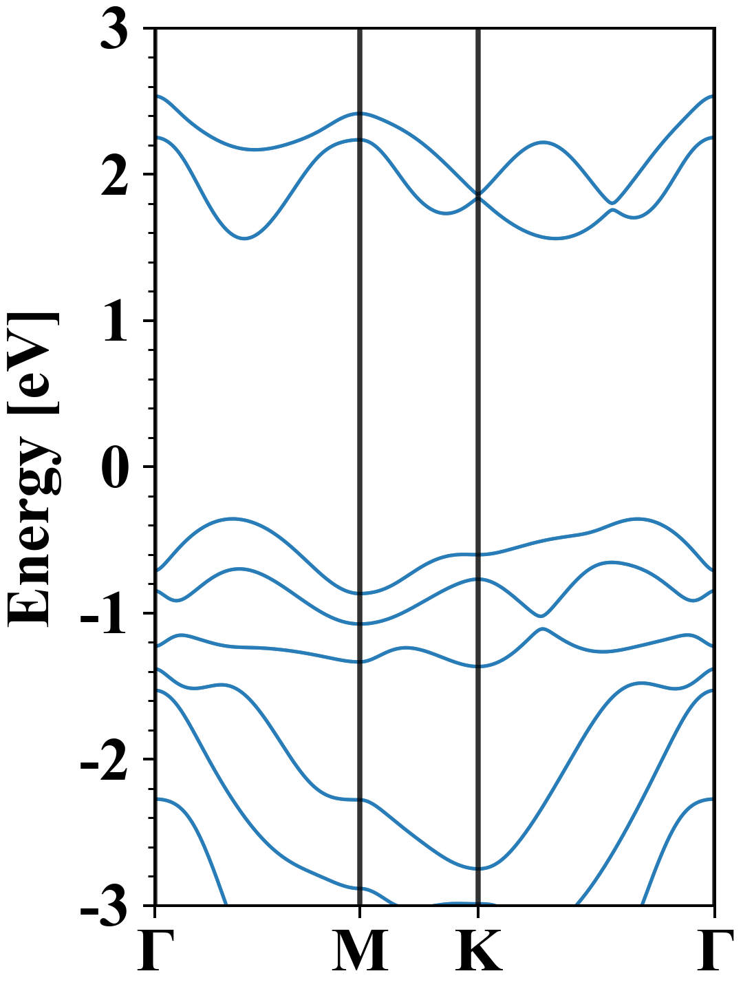
| Band gap (PBE) (eV) |
1.99 |
| Free energy (eV) |
-9.486 |
| Free energy / atom (eV) |
-3.162 |
Lattice Parameters (basic)
| a, b, c (Å): | 4.026 | 4.026 | 30.000 |
| α, β, γ (°): | 90.000 | 90.000 | 120.000 |
Lattice Parameters (computed)
| a, b, c (Å): | 4.019 | 4.019 | 30.000 |
| α, β, γ (°): | 90.000 | 90.000 | 120.000 |
| Property |
Value |
| Band gap |
1.99 eV |
| E-fermi |
-2.862 eV |
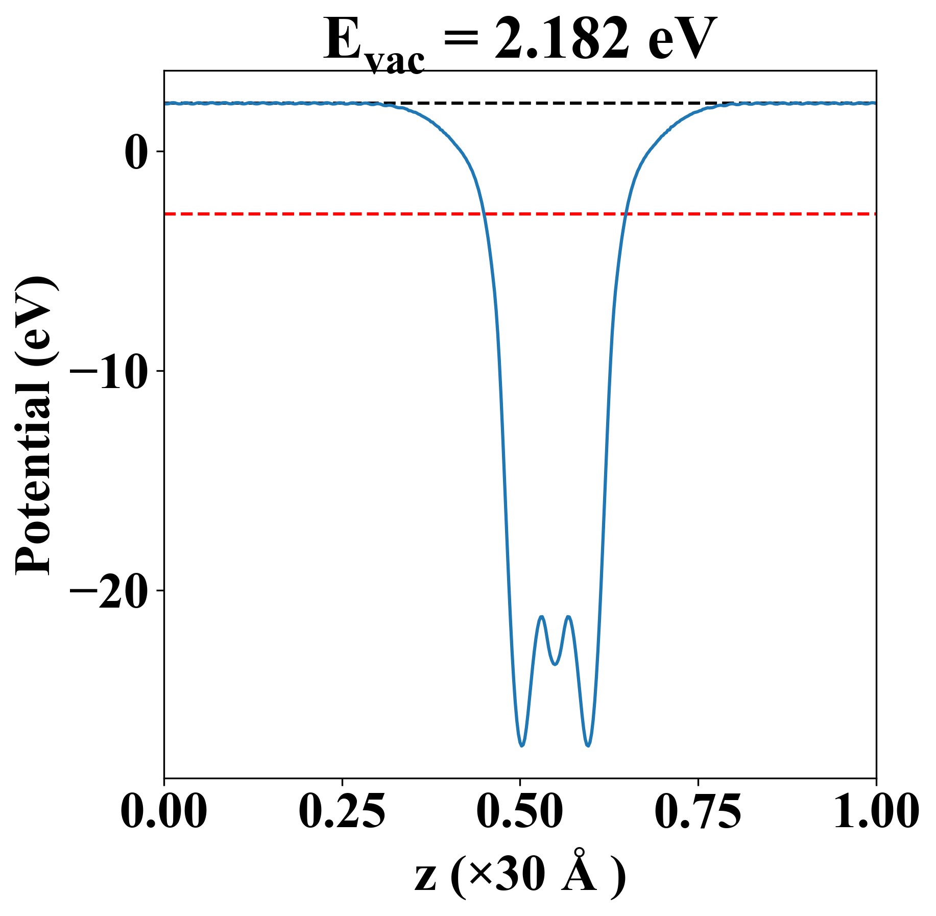
| Vacuum level |
2.182 eV |
| VBM |
-3.086 eV |
| CBM |
-1.099 eV |
| Work function |
5.044 eV |
| Direct gap |
No |
| Property |
Value |
| Band gap |
1.92 eV |
| E-fermi |
-2.654 eV |
| VBM |
-3.011 eV |
| CBM |
-1.095 eV |
| Free energy (eV) |
-9.877 |
| Free energy / atom (eV) |
-3.292 |
| Property |
Value |
| Band gap |
1.99 eV |
| E-fermi |
-2.862 eV |
| Vacuum level |
2.182 eV |
| VBM |
-3.086 eV |
| CBM |
-1.099 eV |
| Work function |
5.044 eV |
| Cij (N/m) |
xx |
yy |
xy |
| xx |
58.775 |
16.055 |
-0.000 |
| yy |
16.055 |
58.775 |
0.000 |
| xy |
-0.000 |
0.000 |
21.360 |
| Phonon mode at Γ point (THz) |
| -0.004 |
| -0.002 |
| -0.002 |
| 3.239 |
| 3.239 |
| 3.890 |
| 3.995 |
| 5.415 |
| 5.415 |
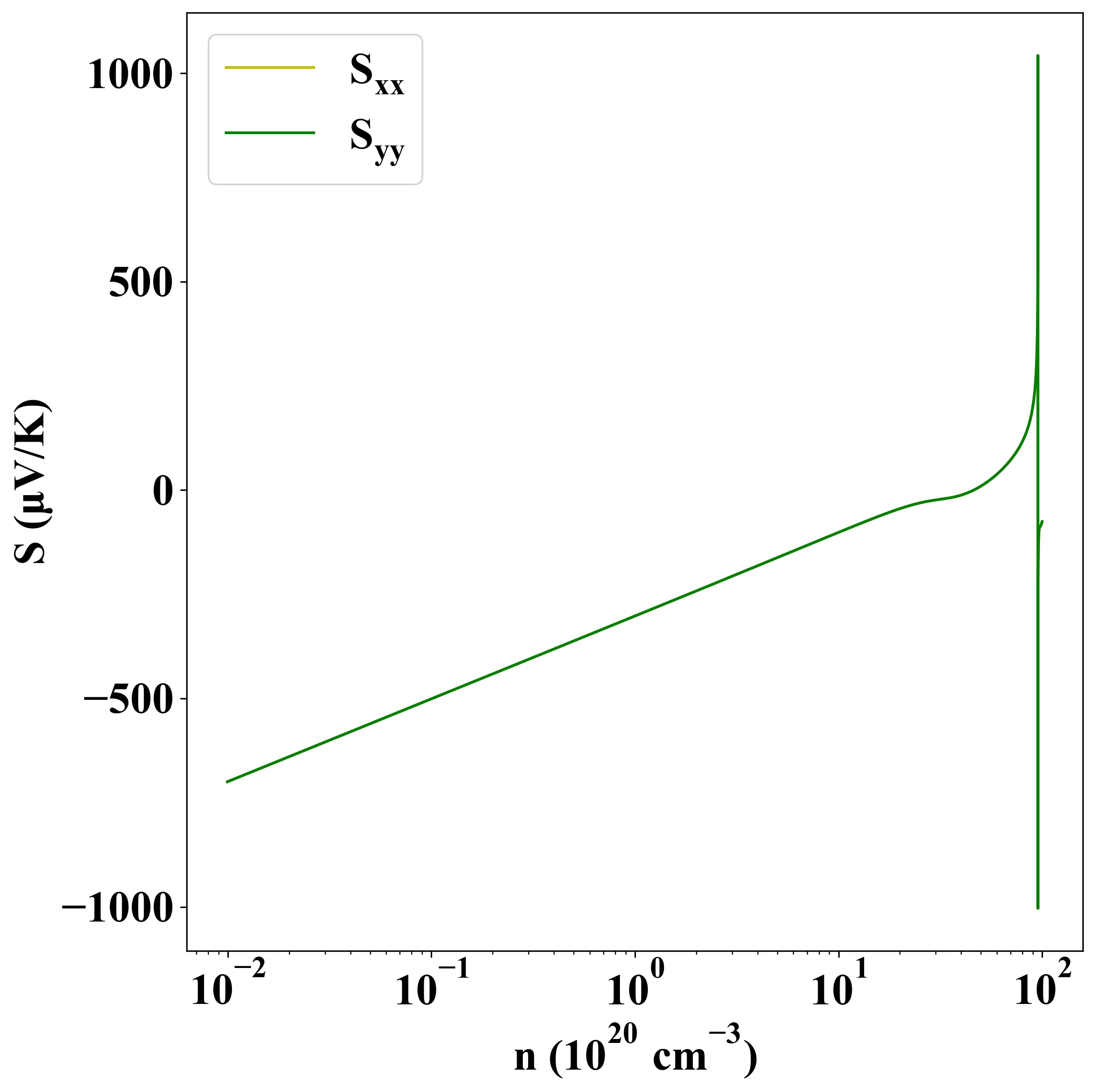
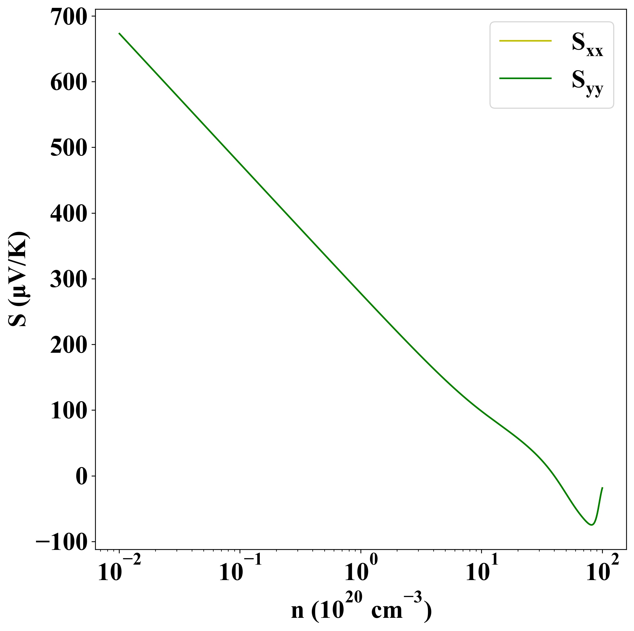
| Carrier type |
C2D (N/m) |
Edef (eV) |
μ (cm2V-1s-1) |
| x |
y |
x |
y |
x |
y |
| hole |
55.13 |
55.12 |
-2.03 |
-1.73 |
-76.01 |
-104.68 |
| electron |
-3.03 |
-2.42 |
41.30 |
64.81 |
| Property |
Value |
| from where |
c2db-931 |