I2Rh1
MatHub2d-721-I2Rh1
| Property |
Value |
| Space group |
(187, 'P-6m2') |
| Crystal system |
hexagonal |
| Magnetic |
Yes |
| Band gap (PBE) (eV) |
0.00 |
| Free energy (eV) |
-6.896 |
| Free energy / atom (eV) |
-2.299 |
Lattice Parameters (basic)
| a, b, c (Å): | 3.844 | 3.844 | 30.000 |
| α, β, γ (°): | 90.000 | 90.000 | 120.000 |
Lattice Parameters (computed)
| a, b, c (Å): | 3.888 | 3.888 | 30.000 |
| α, β, γ (°): | 90.000 | 90.000 | 120.000 |
| Property |
Value |
| Band gap |
0.00 eV |
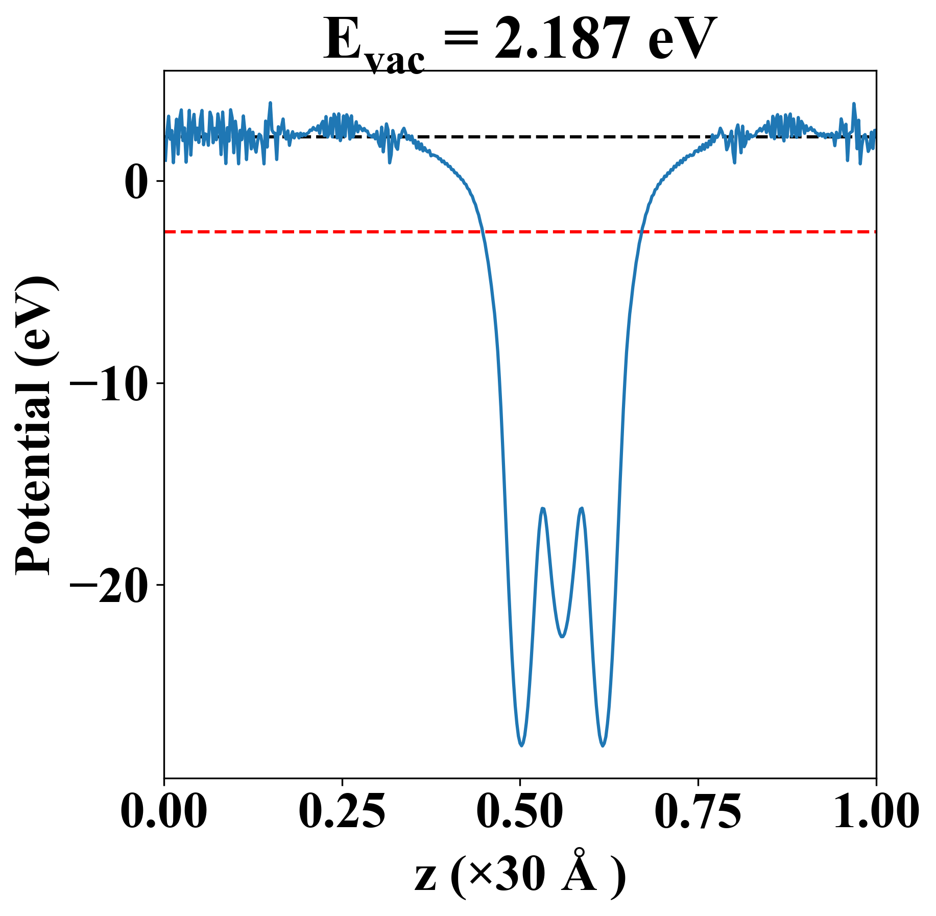
| E-fermi |
-2.514 eV |
| Vacuum level |
2.187 eV |
| VBM |
-2.514 eV |
| CBM |
-2.513 eV |
| Work function |
4.701 eV |
| Direct gap |
No |
| Property |
Value |
| Band gap |
0.00 eV |
| E-fermi |
-2.514 eV |
| Vacuum level |
2.187 eV |
| VBM |
-2.514 eV |
| CBM |
-2.513 eV |
| Work function |
4.701 eV |
| Cij (N/m) |
xx |
yy |
xy |
| xx |
31.635 |
15.389 |
-0.000 |
| yy |
15.389 |
31.635 |
-0.000 |
| xy |
-0.000 |
-0.000 |
8.123 |
| Phonon mode at Γ point (THz) |
| -3.411 |
| -3.411 |
| -2.194 |
| -0.001 |
| -0.001 |
| 0.017 |
| 0.474 |
| 0.474 |
| 3.419 |
| Property |
Value |
| from where |
c2db-1051 |