I2Rh1
MatHub2d-720-I2Rh1
| Property |
Value |
| Space group |
(164, 'P-3m1') |
| Crystal system |
hexagonal |
| Magnetic |
Yes |
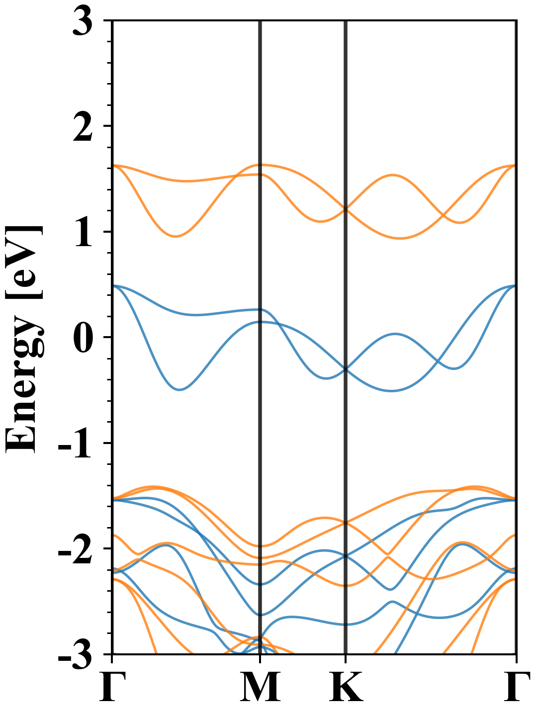
| Band gap (PBE) (eV) |
0.00 |
| Free energy (eV) |
-7.906 |
| Free energy / atom (eV) |
-2.635 |
Lattice Parameters (basic)
| a, b, c (Å): | 4.039 | 4.039 | 30.000 |
| α, β, γ (°): | 90.000 | 90.000 | 120.000 |
Lattice Parameters (computed)
| a, b, c (Å): | 4.027 | 4.027 | 30.000 |
| α, β, γ (°): | 90.000 | 90.000 | 120.000 |
| Property |
Value |
| Band gap |
0.00 eV |
| E-fermi |
-2.429 eV |
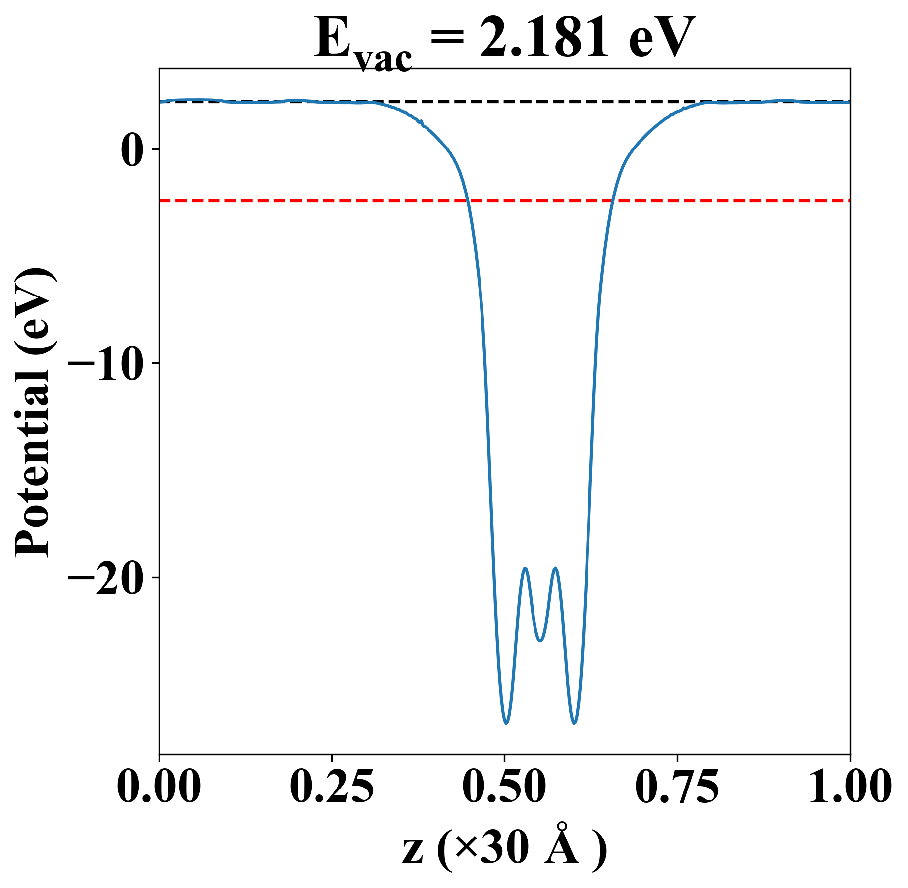
| Vacuum level |
2.181 eV |
| VBM |
-2.431 eV |
| CBM |
-2.428 eV |
| Work function |
4.609 eV |
| Direct gap |
No |
| Property |
Value |
| Band gap |
0.00 eV |
| E-fermi |
-2.429 eV |
| Vacuum level |
2.181 eV |
| VBM |
-2.431 eV |
| CBM |
-2.428 eV |
| Work function |
4.609 eV |
| Cij (N/m) |
xx |
yy |
xy |
| xx |
36.713 |
12.361 |
0.000 |
| yy |
12.361 |
36.713 |
0.000 |
| xy |
0.000 |
0.000 |
12.176 |
| Phonon mode at Γ point (THz) |
| -0.002 |
| -0.002 |
| -0.001 |
| 1.794 |
| 1.794 |
| 3.524 |
| 4.087 |
| 4.658 |
| 4.658 |
| Property |
Value |
| from where |
c2db-927 |