I2Re1
MatHub2d-719-I2Re1
| Property |
Value |
| Space group |
(187, 'P-6m2') |
| Crystal system |
hexagonal |
| Magnetic |
Yes |
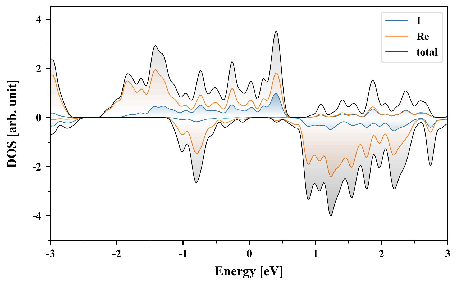
| Band gap (PBE) (eV) |
0.00 |
| Free energy (eV) |
-10.347 |
| Free energy / atom (eV) |
-3.449 |
Lattice Parameters (basic)
| a, b, c (Å): | 3.833 | 3.833 | 30.000 |
| α, β, γ (°): | 90.000 | 90.000 | 120.000 |
Lattice Parameters (computed)
| a, b, c (Å): | 3.843 | 3.843 | 30.000 |
| α, β, γ (°): | 90.000 | 90.000 | 120.000 |
| Property |
Value |
| Band gap |
0.00 eV |
| E-fermi |
-1.470 eV |
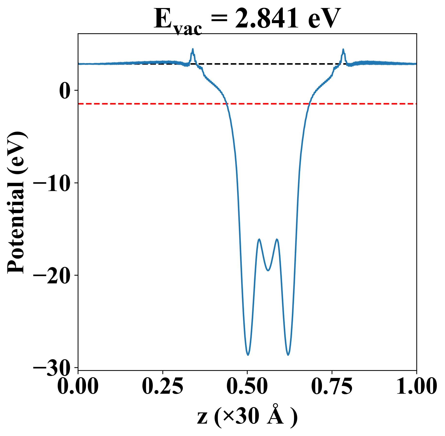
| Vacuum level |
2.841 eV |
| VBM |
-1.471 eV |
| CBM |
-1.469 eV |
| Work function |
4.311 eV |
| Direct gap |
No |
| Property |
Value |
| Band gap |
0.00 eV |
| E-fermi |
-1.470 eV |
| Vacuum level |
2.841 eV |
| VBM |
-1.471 eV |
| CBM |
-1.469 eV |
| Work function |
4.311 eV |
| Cij (N/m) |
xx |
yy |
xy |
| xx |
-8.392 |
3.373 |
-0.000 |
| yy |
3.373 |
-8.392 |
-0.000 |
| xy |
-0.000 |
-0.000 |
-5.883 |
| Phonon mode at Γ point (THz) |
| -5.514 |
| -3.055 |
| -3.055 |
| -1.051 |
| -1.051 |
| 0.006 |
| 0.006 |
| 0.007 |
| 2.702 |
| Property |
Value |
| from where |
c2db-1048 |