I2Re1
MatHub2d-718-I2Re1
| Property |
Value |
| Space group |
(164, 'P-3m1') |
| Crystal system |
hexagonal |
| Magnetic |
Yes |
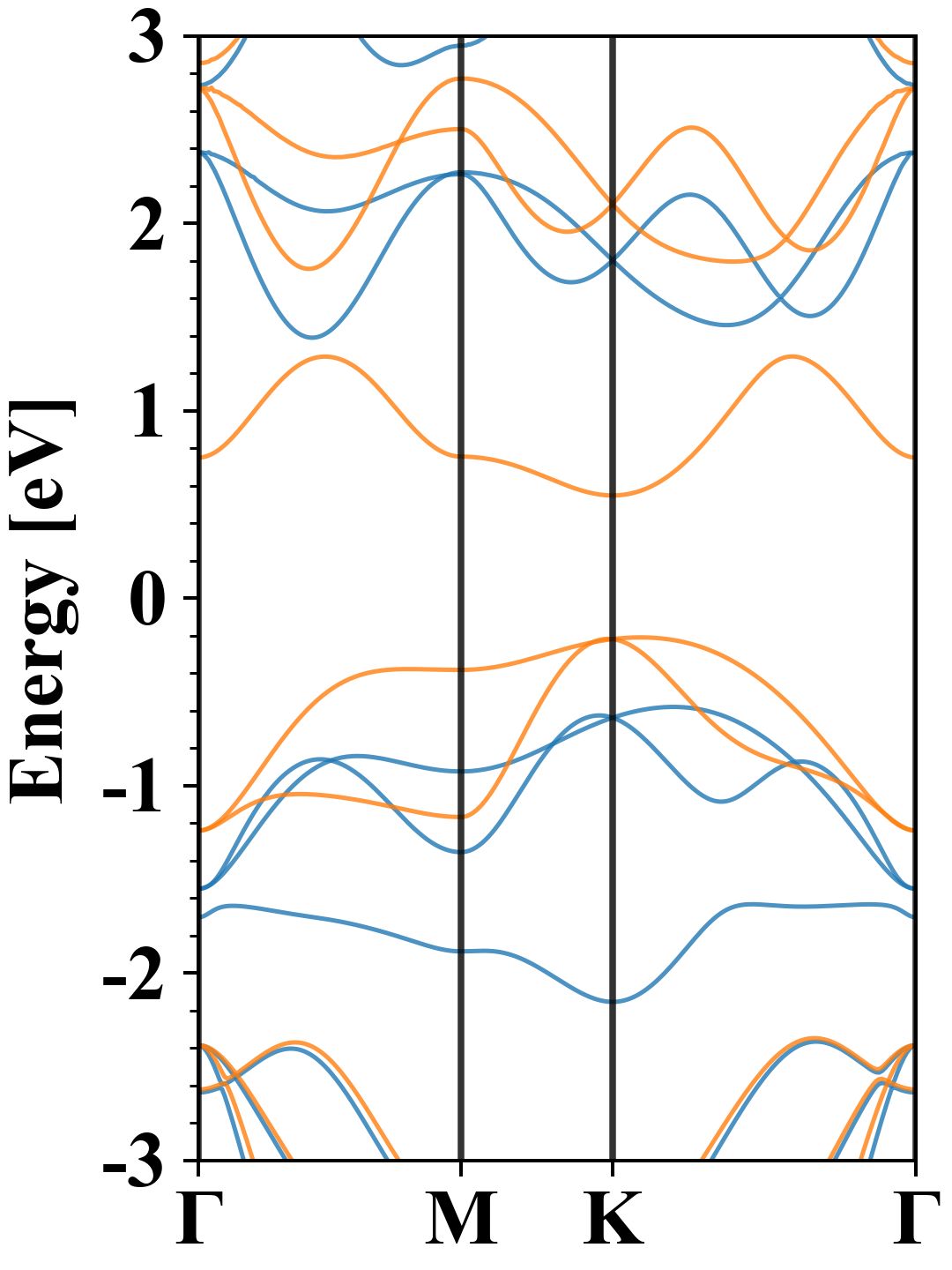
| Band gap (PBE) (eV) |
0.76 |
| Free energy (eV) |
-11.246 |
| Free energy / atom (eV) |
-3.749 |
Lattice Parameters (basic)
| a, b, c (Å): | 4.080 | 4.080 | 30.000 |
| α, β, γ (°): | 90.000 | 90.000 | 120.000 |
Lattice Parameters (computed)
| a, b, c (Å): | 4.154 | 4.154 | 30.000 |
| α, β, γ (°): | 90.000 | 90.000 | 120.000 |
| Property |
Value |
| Band gap |
0.76 eV |
| E-fermi |
-2.097 eV |
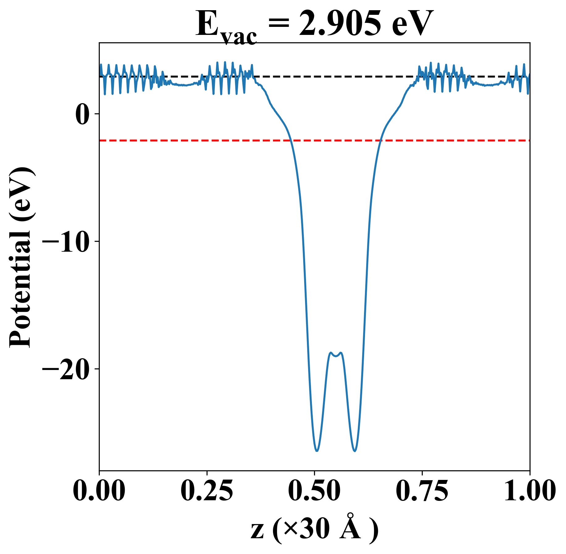
| Vacuum level |
2.905 eV |
| VBM |
-2.307 eV |
| CBM |
-1.550 eV |
| Work function |
5.003 eV |
| Direct gap |
No |
| Property |
Value |
| Band gap |
0.76 eV |
| E-fermi |
-2.097 eV |
| Vacuum level |
2.905 eV |
| VBM |
-2.307 eV |
| CBM |
-1.550 eV |
| Work function |
5.003 eV |
| Cij (N/m) |
xx |
yy |
xy |
| xx |
48.775 |
22.860 |
0.000 |
| yy |
22.860 |
48.775 |
0.000 |
| xy |
0.000 |
0.000 |
12.957 |
| Phonon mode at Γ point (THz) |
| -0.003 |
| -0.001 |
| -0.001 |
| 2.990 |
| 3.140 |
| 3.140 |
| 3.802 |
| 4.543 |
| 4.543 |
| Property |
Value |
| from where |
c2db-924 |