I2Pt1
MatHub2d-716-I2Pt1
| Property |
Value |
| Space group |
(164, 'P-3m1') |
| Crystal system |
hexagonal |
| Magnetic |
Yes |
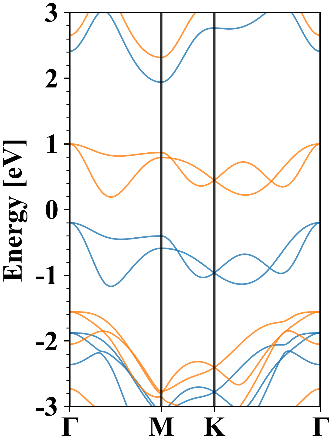
| Band gap (PBE) (eV) |
0.00 |
| Free energy (eV) |
-7.073 |
| Free energy / atom (eV) |
-2.358 |
Lattice Parameters (basic)
| a, b, c (Å): | 4.083 | 4.083 | 30.000 |
| α, β, γ (°): | 90.000 | 90.000 | 120.000 |
Lattice Parameters (computed)
| a, b, c (Å): | 4.135 | 4.135 | 30.000 |
| α, β, γ (°): | 90.000 | 90.000 | 120.000 |
| Property |
Value |
| Band gap |
0.00 eV |
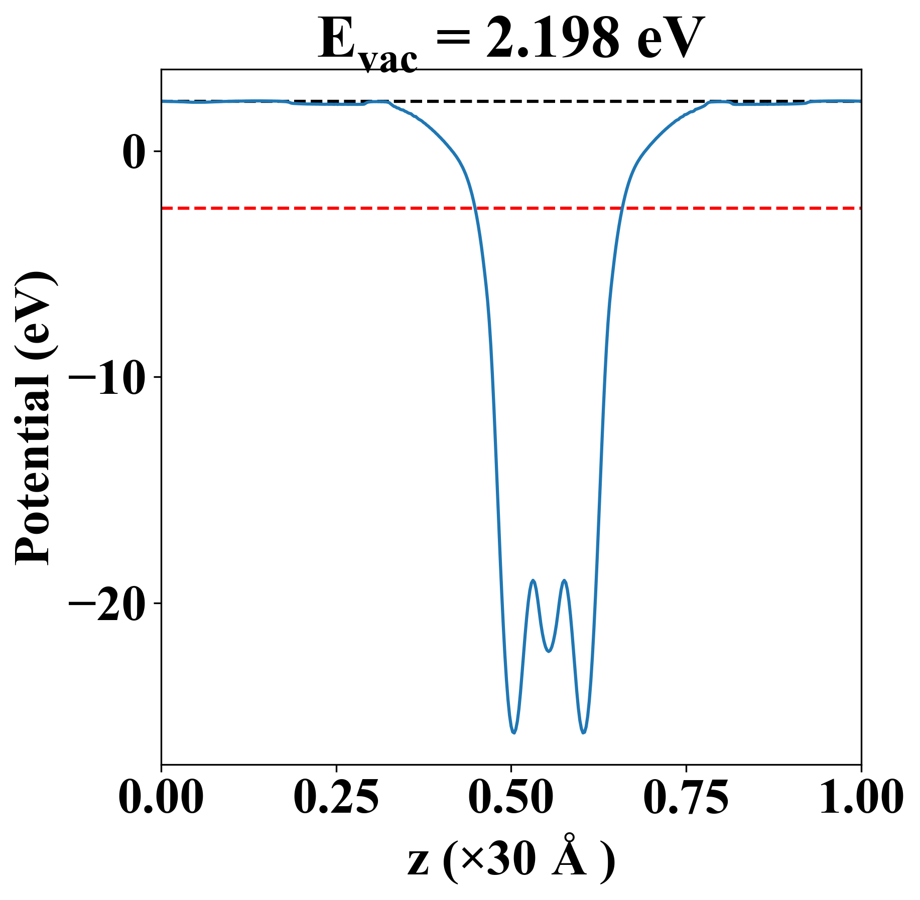
| E-fermi |
-2.532 eV |
| Vacuum level |
2.198 eV |
| VBM |
-2.730 eV |
| CBM |
-2.341 eV |
| Work function |
4.730 eV |
| Direct gap |
No |
| Property |
Value |
| Band gap |
0.00 eV |
| E-fermi |
-2.532 eV |
| Vacuum level |
2.198 eV |
| VBM |
-2.730 eV |
| CBM |
-2.341 eV |
| Work function |
4.730 eV |
| Cij (N/m) |
xx |
yy |
xy |
| xx |
18.765 |
19.611 |
0.000 |
| yy |
19.611 |
18.765 |
-0.000 |
| xy |
0.000 |
-0.000 |
-0.423 |
| Phonon mode at Γ point (THz) |
| -1.372 |
| -1.372 |
| -0.001 |
| -0.001 |
| 0.001 |
| 2.915 |
| 3.240 |
| 3.240 |
| 3.440 |
| Property |
Value |
| from where |
c2db-1905 |