I2Pd1
MatHub2d-715-I2Pd1
| Property |
Value |
| Space group |
(187, 'P-6m2') |
| Crystal system |
hexagonal |
| Magnetic |
Yes |
| Band gap (PBE) (eV) |
0.00 |
| Free energy (eV) |
-6.183 |
| Free energy / atom (eV) |
-2.061 |
Lattice Parameters (basic)
| a, b, c (Å): | 3.905 | 3.905 | 30.000 |
| α, β, γ (°): | 90.000 | 90.000 | 120.000 |
Lattice Parameters (computed)
| a, b, c (Å): | 3.973 | 3.973 | 30.000 |
| α, β, γ (°): | 90.000 | 90.000 | 120.000 |
| Property |
Value |
| Band gap |
0.00 eV |
| E-fermi |
-2.989 eV |
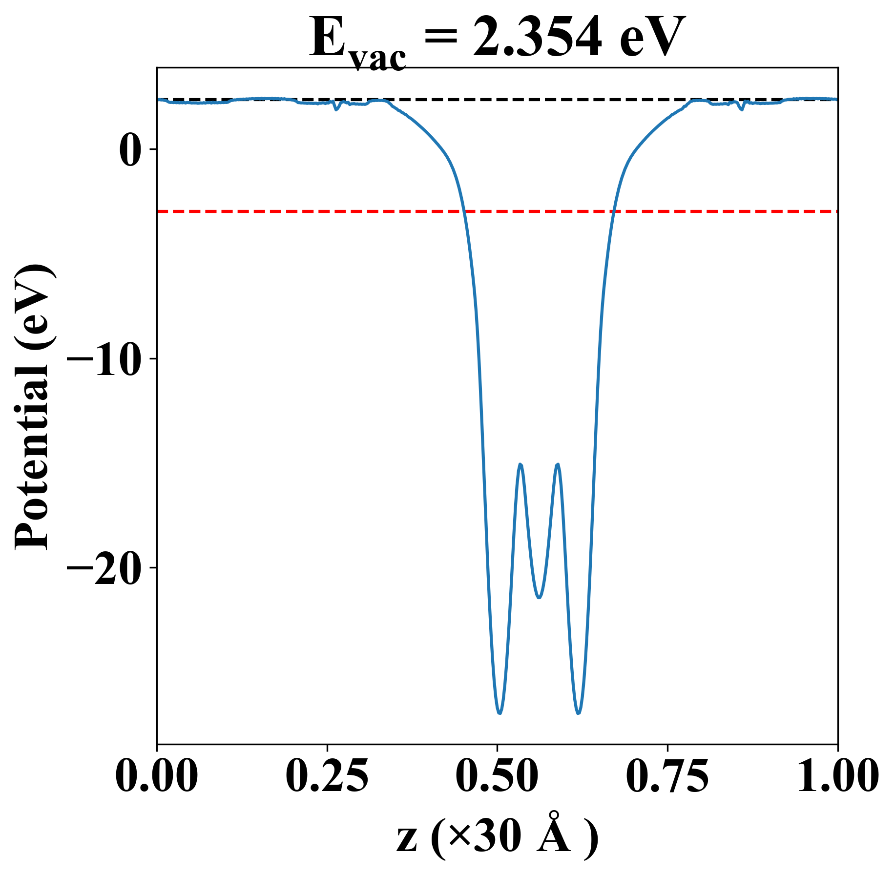
| Vacuum level |
2.354 eV |
| VBM |
-2.992 eV |
| CBM |
-2.987 eV |
| Work function |
5.343 eV |
| Direct gap |
No |
| Property |
Value |
| Band gap |
0.00 eV |
| E-fermi |
-2.989 eV |
| Vacuum level |
2.354 eV |
| VBM |
-2.992 eV |
| CBM |
-2.987 eV |
| Work function |
5.343 eV |
| Cij (N/m) |
xx |
yy |
xy |
| xx |
21.799 |
17.730 |
-0.000 |
| yy |
17.730 |
21.799 |
-0.000 |
| xy |
-0.000 |
-0.000 |
2.034 |
| Phonon mode at Γ point (THz) |
| -3.569 |
| -3.569 |
| -0.008 |
| 0.003 |
| 0.003 |
| 0.696 |
| 0.696 |
| 3.112 |
| 3.335 |
| Property |
Value |
| from where |
c2db-1041 |