I2Pd1
MatHub2d-714-I2Pd1
| Property |
Value |
| Space group |
(164, 'P-3m1') |
| Crystal system |
hexagonal |
| Magnetic |
Yes |
| Band gap (PBE) (eV) |
0.00 |
| Free energy (eV) |
-6.850 |
| Free energy / atom (eV) |
-2.283 |
Lattice Parameters (basic)
| a, b, c (Å): | 4.064 | 4.064 | 30.000 |
| α, β, γ (°): | 90.000 | 90.000 | 120.000 |
Lattice Parameters (computed)
| a, b, c (Å): | 4.124 | 4.124 | 30.000 |
| α, β, γ (°): | 90.000 | 90.000 | 120.000 |
| Property |
Value |
| Band gap |
0.00 eV |
| E-fermi |
-3.082 eV |
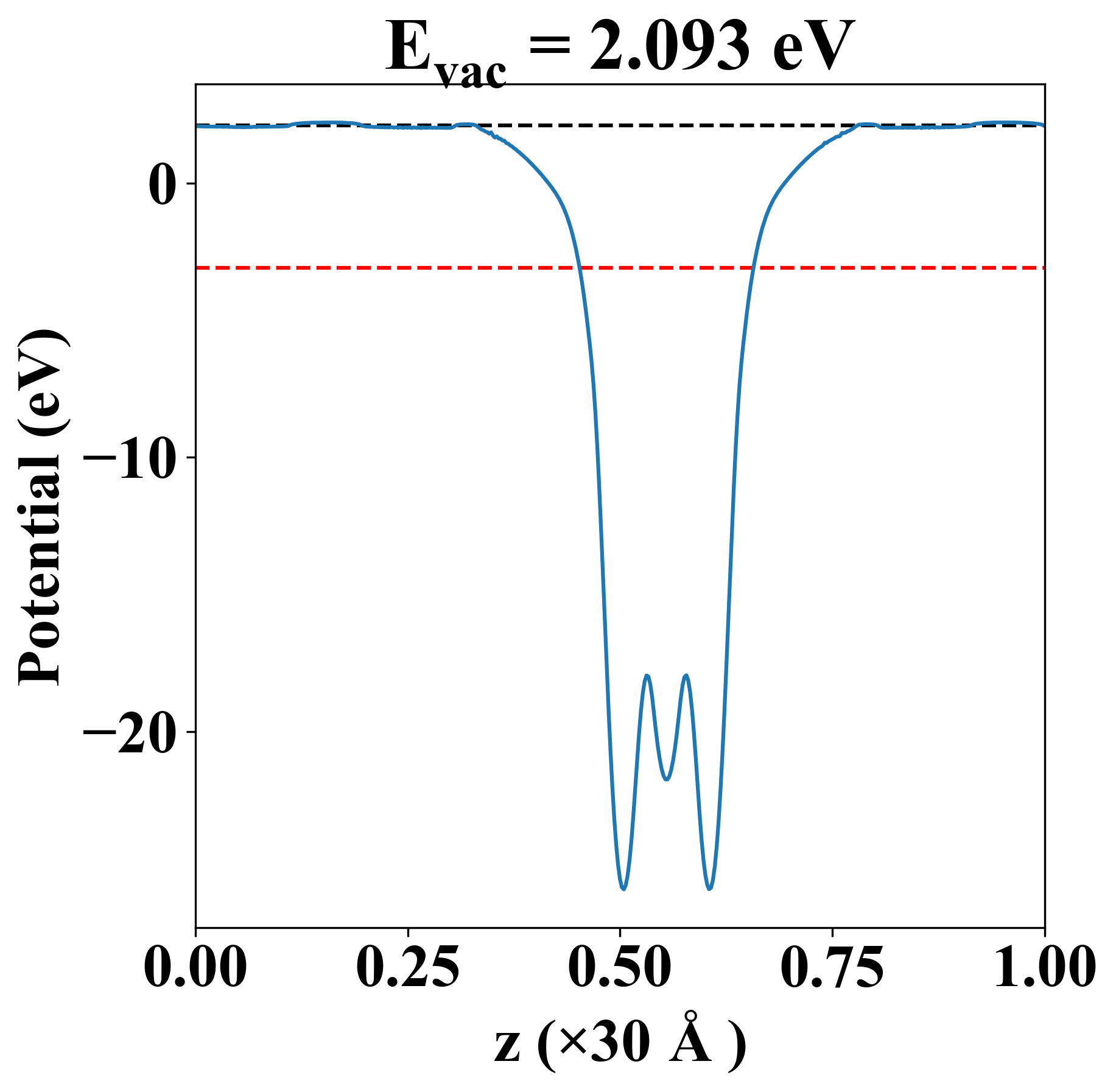
| Vacuum level |
2.093 eV |
| VBM |
-3.258 eV |
| CBM |
-2.913 eV |
| Work function |
5.175 eV |
| Direct gap |
No |
| Property |
Value |
| Band gap |
0.20 eV |
| E-fermi |
-2.998 eV |
| VBM |
-3.099 eV |
| CBM |
-2.899 eV |
| Free energy (eV) |
-7.163 |
| Free energy / atom (eV) |
-2.388 |
| Property |
Value |
| Band gap |
0.00 eV |
| E-fermi |
-3.082 eV |
| Vacuum level |
2.093 eV |
| VBM |
-3.258 eV |
| CBM |
-2.913 eV |
| Work function |
5.175 eV |
| Cij (N/m) |
xx |
yy |
xy |
| xx |
17.941 |
14.188 |
-0.000 |
| yy |
14.188 |
17.941 |
-0.000 |
| xy |
-0.000 |
-0.000 |
1.876 |
| Phonon mode at Γ point (THz) |
| -0.564 |
| -0.564 |
| -0.004 |
| -0.001 |
| -0.001 |
| 3.164 |
| 3.525 |
| 3.830 |
| 3.830 |
| Property |
Value |
| from where |
c2db-917 |