I2Pb1
MatHub2d-713-I2Pb1
| Property |
Value |
| Space group |
(187, 'P-6m2') |
| Crystal system |
hexagonal |
| Magnetic |
No |
| Band gap (PBE) (eV) |
2.66 |
| Free energy (eV) |
-8.379 |
| Free energy / atom (eV) |
-2.793 |
Lattice Parameters (basic)
| a, b, c (Å): | 4.502 | 4.502 | 30.000 |
| α, β, γ (°): | 90.000 | 90.000 | 120.000 |
Lattice Parameters (computed)
| a, b, c (Å): | 4.503 | 4.503 | 30.000 |
| α, β, γ (°): | 90.000 | 90.000 | 120.000 |
| Property |
Value |
| Band gap |
2.66 eV |
| E-fermi |
-4.166 eV |
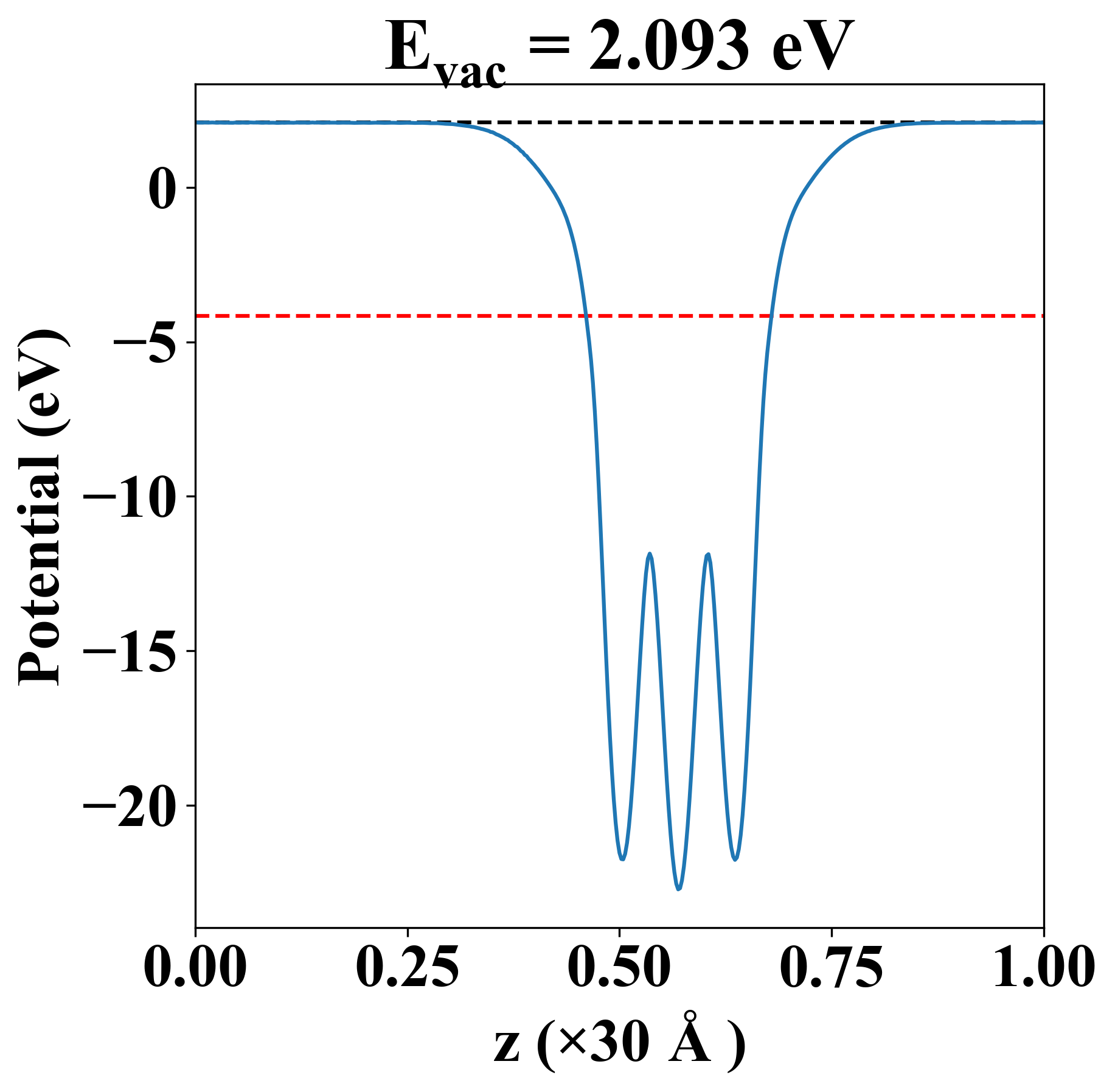
| Vacuum level |
2.093 eV |
| VBM |
-4.405 eV |
| CBM |
-1.744 eV |
| Work function |
6.259 eV |
| Direct gap |
No |
| Property |
Value |
| Band gap |
2.03 eV |
| E-fermi |
-3.861 eV |
| VBM |
-4.159 eV |
| CBM |
-2.131 eV |
| Free energy (eV) |
-9.055 |
| Free energy / atom (eV) |
-3.018 |
| Property |
Value |
| Band gap |
2.66 eV |
| E-fermi |
-4.166 eV |
| Vacuum level |
2.093 eV |
| VBM |
-4.405 eV |
| CBM |
-1.744 eV |
| Work function |
6.259 eV |
| Cij (N/m) |
xx |
yy |
xy |
| xx |
16.151 |
9.278 |
0.000 |
| yy |
9.278 |
16.151 |
0.000 |
| xy |
0.000 |
0.000 |
3.436 |
| Phonon mode at Γ point (THz) |
| -0.005 |
| -0.005 |
| -0.002 |
| 1.446 |
| 1.446 |
| 1.907 |
| 1.907 |
| 2.885 |
| 3.663 |
| Property |
Value |
| from where |
c2db-1038 |