I2Pb1
MatHub2d-712-I2Pb1
| Property |
Value |
| Space group |
(164, 'P-3m1') |
| Crystal system |
hexagonal |
| Magnetic |
No |
| Band gap (PBE) (eV) |
2.34 |
| Free energy (eV) |
-8.583 |
| Free energy / atom (eV) |
-2.861 |
Lattice Parameters (basic)
| a, b, c (Å): | 4.567 | 4.567 | 30.000 |
| α, β, γ (°): | 90.000 | 90.000 | 120.000 |
Lattice Parameters (computed)
| a, b, c (Å): | 4.852 | 4.852 | 30.000 |
| α, β, γ (°): | 90.000 | 90.000 | 120.000 |
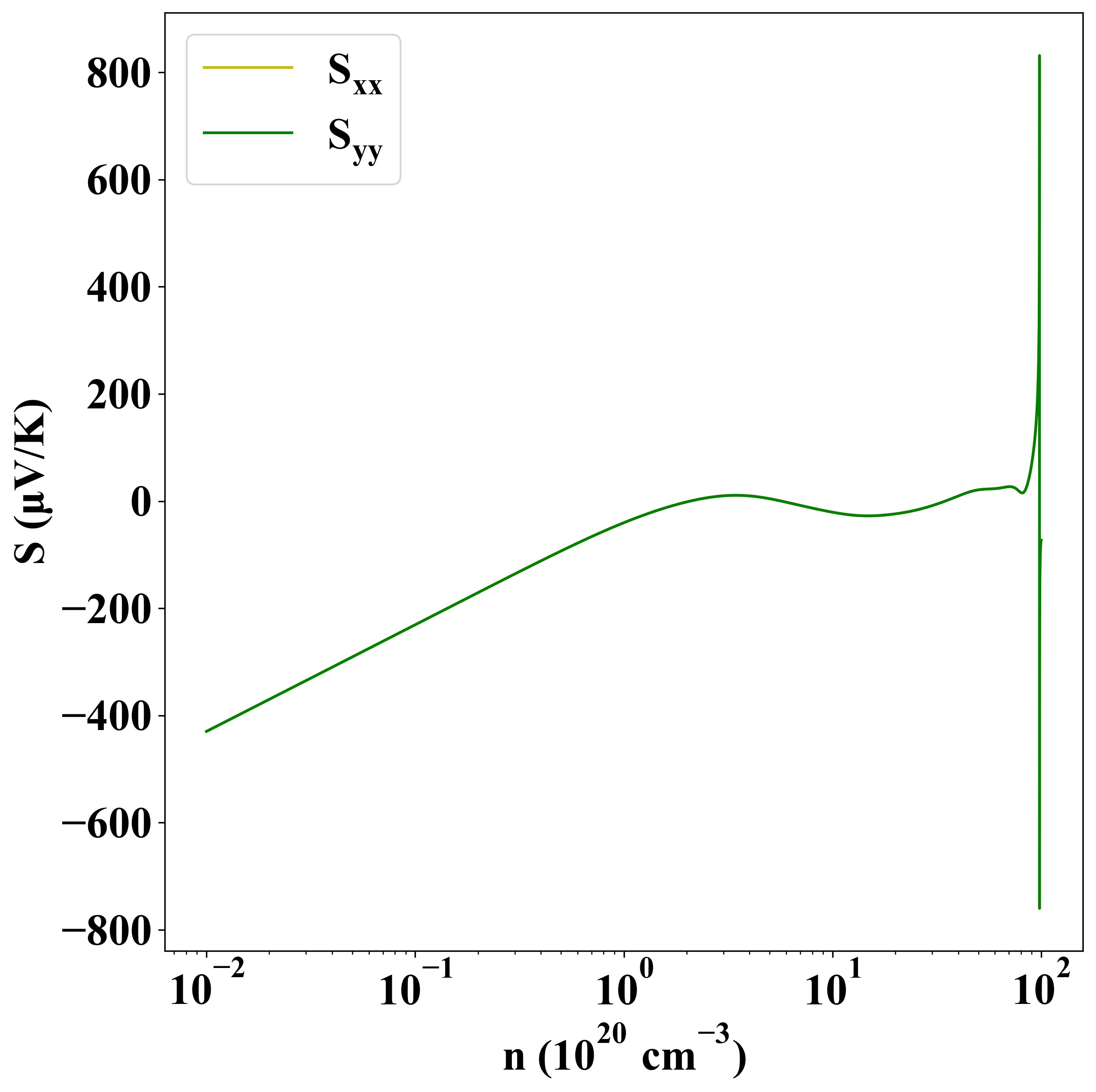
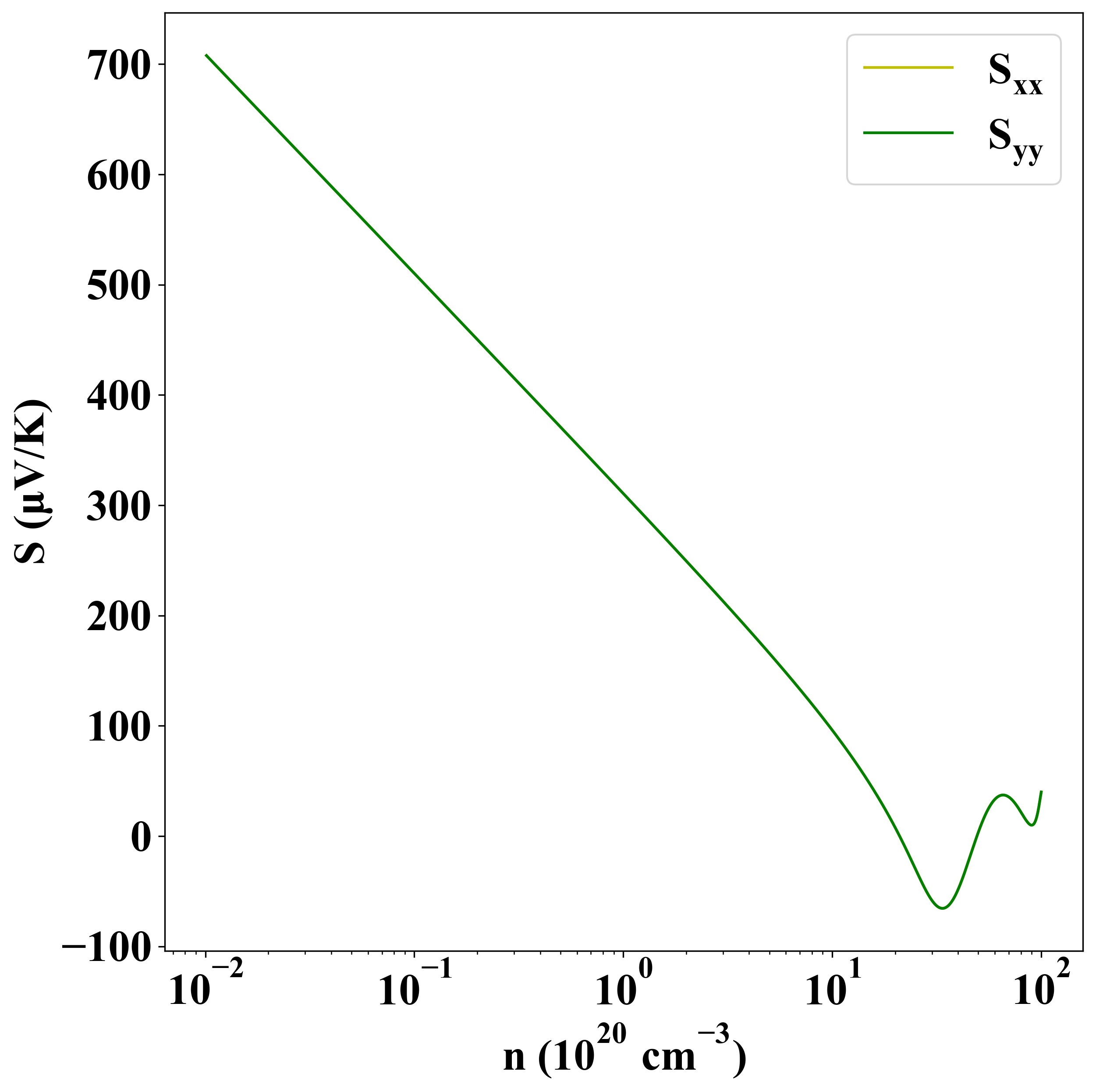
| Property |
Value |
| Band gap |
2.34 eV |
| E-fermi |
-4.517 eV |
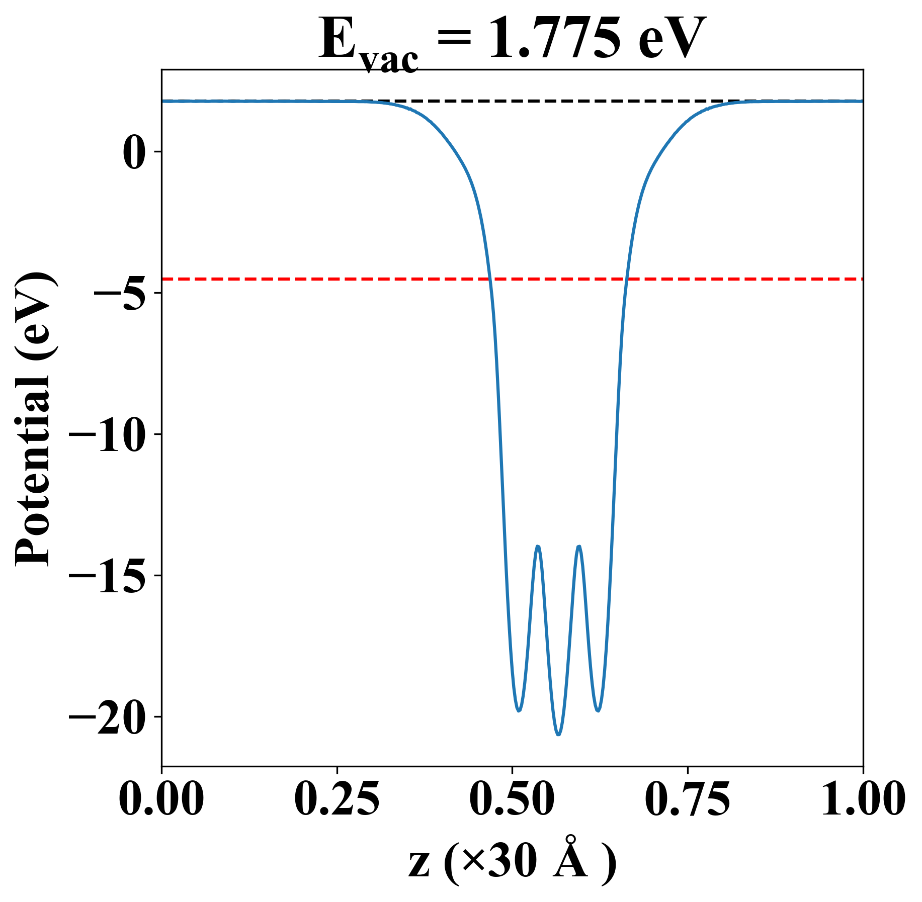
| Vacuum level |
1.775 eV |
| VBM |
-4.745 eV |
| CBM |
-2.409 eV |
| Work function |
6.292 eV |
| Direct gap |
No |
| Property |
Value |
| Band gap |
1.75 eV |
| E-fermi |
-4.393 eV |
| VBM |
-4.626 eV |
| CBM |
-2.875 eV |
| Free energy (eV) |
-9.239 |
| Free energy / atom (eV) |
-3.080 |
| Property |
Value |
| Band gap |
2.34 eV |
| E-fermi |
-4.517 eV |
| Vacuum level |
1.775 eV |
| VBM |
-4.745 eV |
| CBM |
-2.409 eV |
| Work function |
6.292 eV |
| Cij (N/m) |
xx |
yy |
xy |
| xx |
12.691 |
2.462 |
0.000 |
| yy |
2.462 |
12.691 |
0.000 |
| xy |
0.000 |
0.000 |
5.115 |
| Phonon mode at Γ point (THz) |
| -0.015 |
| -0.015 |
| -0.007 |
| 1.317 |
| 1.317 |
| 2.070 |
| 2.070 |
| 2.330 |
| 3.090 |
| Property |
Value |
| from where |
JVASP-5995 |