I2Os1
MatHub2d-711-I2Os1
| Property |
Value |
| Space group |
(187, 'P-6m2') |
| Crystal system |
hexagonal |
| Magnetic |
Yes |
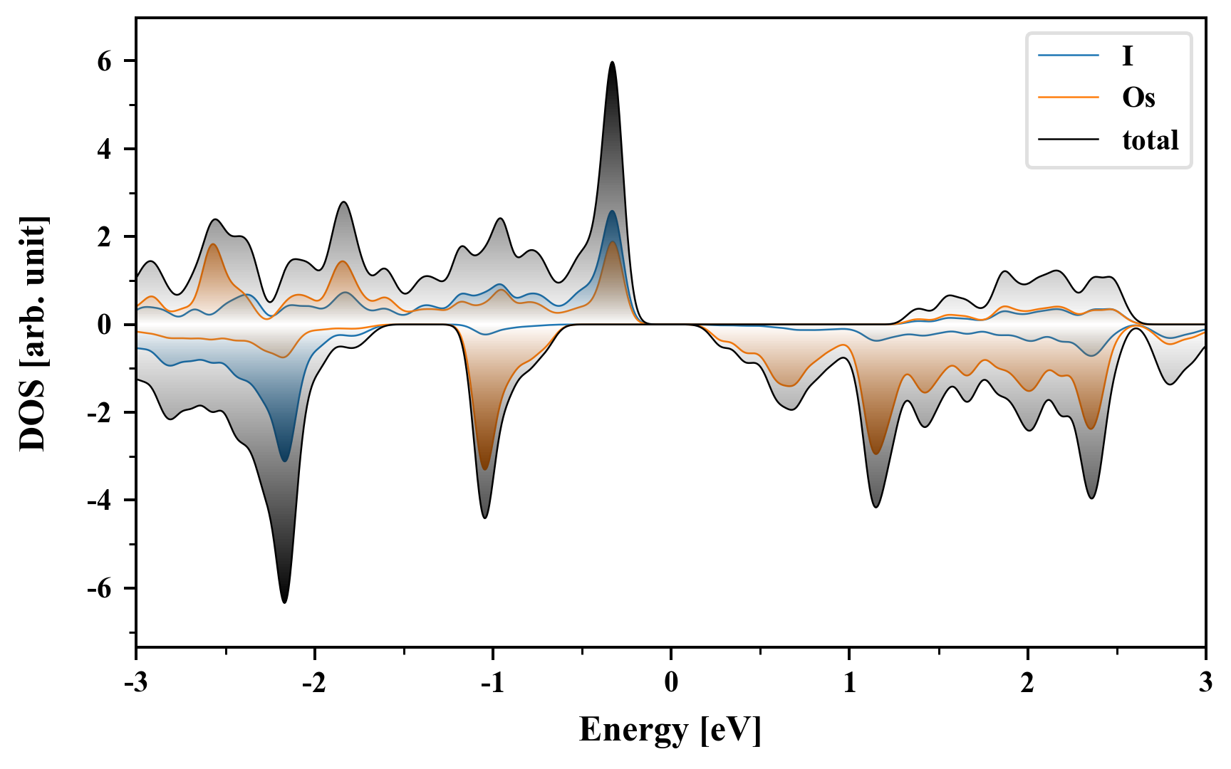
| Band gap (PBE) (eV) |
0.00 |
| Free energy (eV) |
-9.219 |
| Free energy / atom (eV) |
-3.073 |
Lattice Parameters (basic)
| a, b, c (Å): | 3.863 | 3.863 | 30.000 |
| α, β, γ (°): | 90.000 | 90.000 | 120.000 |
Lattice Parameters (computed)
| a, b, c (Å): | 4.004 | 4.004 | 30.000 |
| α, β, γ (°): | 90.000 | 90.000 | 120.000 |
| Property |
Value |
| Band gap |
0.00 eV |
| E-fermi |
-2.648 eV |
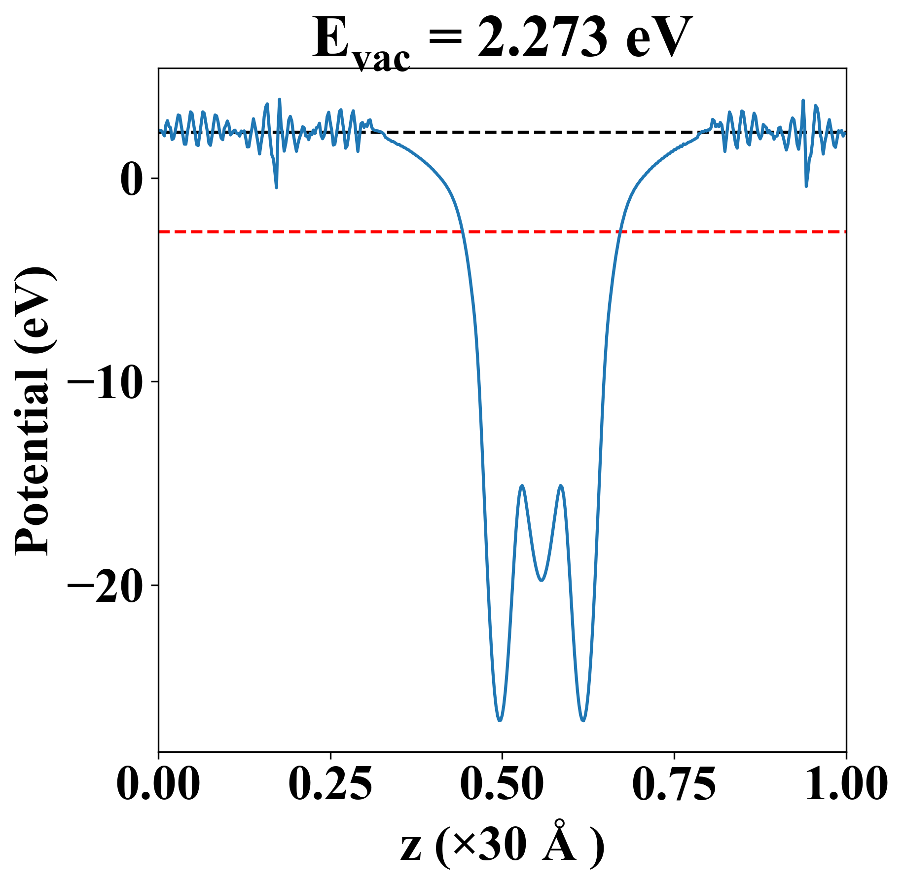
| Vacuum level |
2.273 eV |
| VBM |
-2.898 eV |
| CBM |
-2.431 eV |
| Work function |
4.921 eV |
| Direct gap |
No |
| Property |
Value |
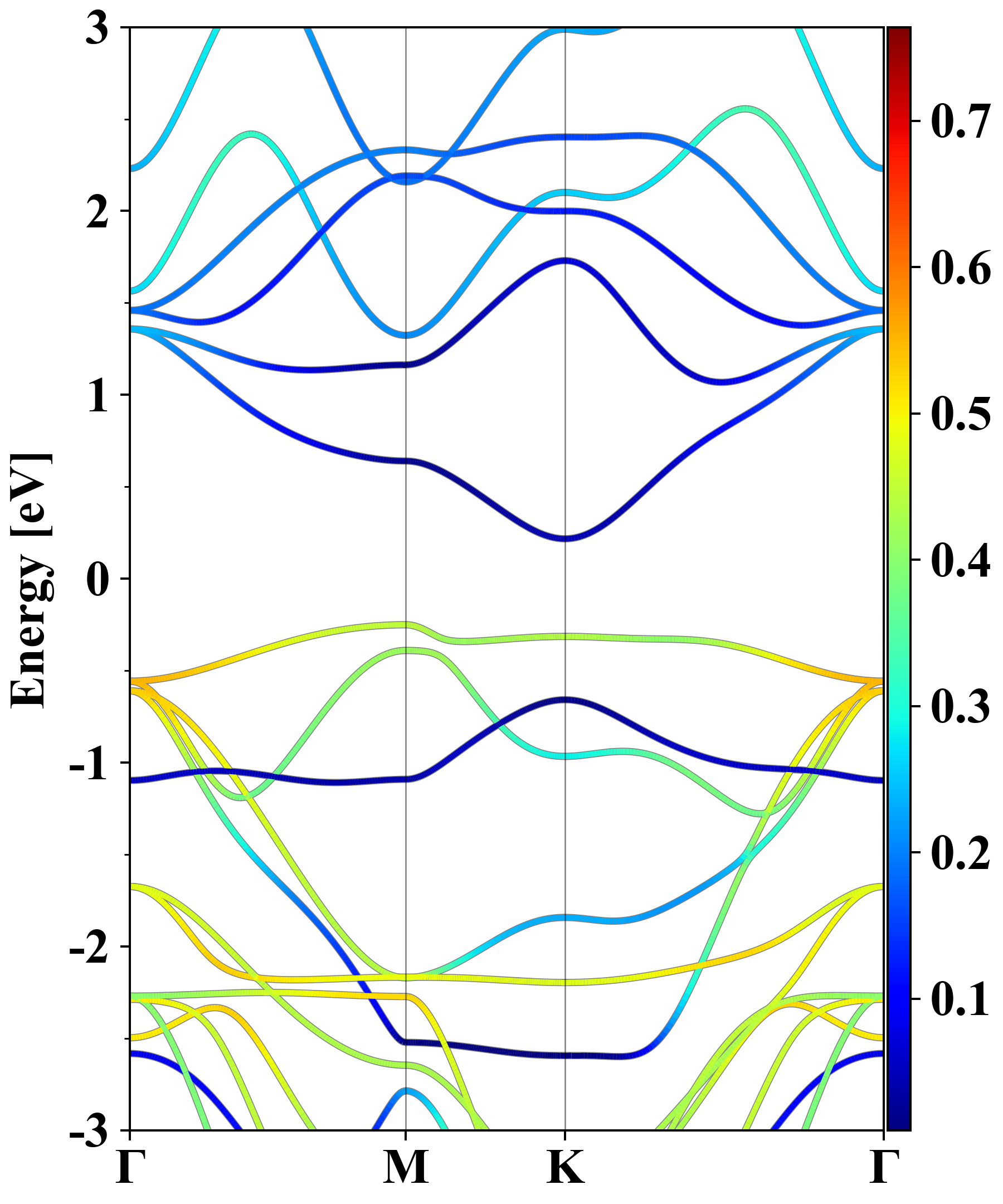
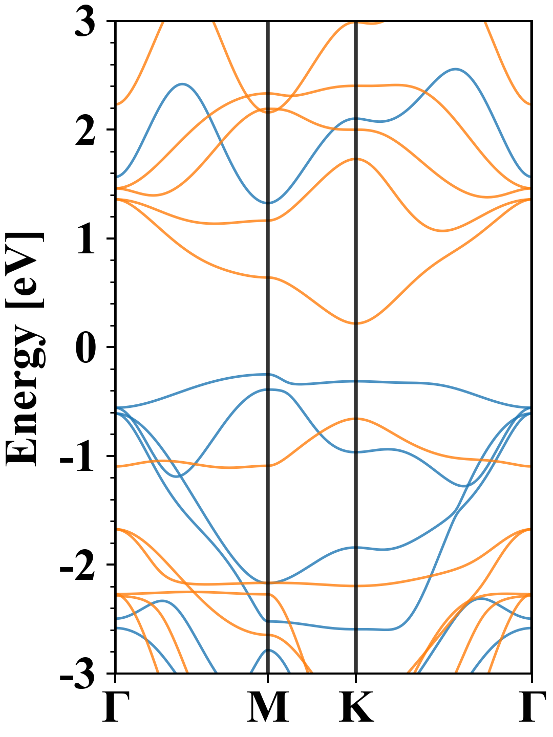
| Band gap |
0.74 eV |
| E-fermi |
-2.546 eV |
| VBM |
-2.785 eV |
| CBM |
-2.046 eV |
| Free energy (eV) |
-9.899 |
| Free energy / atom (eV) |
-3.300 |
| Property |
Value |
| Band gap |
0.00 eV |
| E-fermi |
-2.648 eV |
| Vacuum level |
2.273 eV |
| VBM |
-2.898 eV |
| CBM |
-2.431 eV |
| Work function |
4.921 eV |
| Cij (N/m) |
xx |
yy |
xy |
| xx |
27.161 |
19.349 |
0.000 |
| yy |
19.349 |
27.161 |
0.000 |
| xy |
0.000 |
0.000 |
3.906 |
| Phonon mode at Γ point (THz) |
| -4.780 |
| -3.391 |
| -3.391 |
| -1.593 |
| -1.593 |
| 0.001 |
| 0.001 |
| 0.002 |
| 2.602 |
| Property |
Value |
| from where |
c2db-1034 |