I2Os1
MatHub2d-710-I2Os1
| Property |
Value |
| Space group |
(164, 'P-3m1') |
| Crystal system |
hexagonal |
| Magnetic |
No |
| Band gap (PBE) (eV) |
2.03 |
| Free energy (eV) |
-10.785 |
| Free energy / atom (eV) |
-3.595 |
Lattice Parameters (basic)
| a, b, c (Å): | 4.056 | 4.056 | 30.000 |
| α, β, γ (°): | 90.000 | 90.000 | 120.000 |
Lattice Parameters (computed)
| a, b, c (Å): | 4.044 | 4.044 | 30.000 |
| α, β, γ (°): | 90.000 | 90.000 | 120.000 |
| Property |
Value |
| Band gap |
2.03 eV |
| E-fermi |
-2.611 eV |
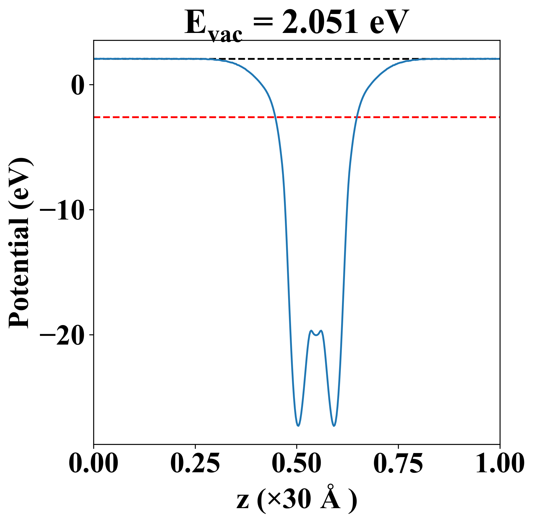
| Vacuum level |
2.051 eV |
| VBM |
-2.836 eV |
| CBM |
-0.806 eV |
| Work function |
4.662 eV |
| Direct gap |
No |
| Property |
Value |
| Band gap |
1.95 eV |
| E-fermi |
-2.492 eV |
| VBM |
-2.740 eV |
| CBM |
-0.791 eV |
| Free energy (eV) |
-11.392 |
| Free energy / atom (eV) |
-3.797 |
| Property |
Value |
| Band gap |
2.03 eV |
| E-fermi |
-2.611 eV |
| Vacuum level |
2.051 eV |
| VBM |
-2.836 eV |
| CBM |
-0.806 eV |
| Work function |
4.662 eV |
| Cij (N/m) |
xx |
yy |
xy |
| xx |
72.310 |
19.870 |
-0.000 |
| yy |
19.870 |
72.310 |
0.000 |
| xy |
-0.000 |
0.000 |
26.220 |
| Phonon mode at Γ point (THz) |
| -0.003 |
| 0.001 |
| 0.001 |
| 3.663 |
| 3.663 |
| 3.913 |
| 4.385 |
| 4.938 |
| 4.938 |
| Property |
Value |
| from where |
c2db-911 |